常微分方程式を数値計算で解く方法として、もっとも単純ではあるが、最も精度の悪い方
法でる。よっぽどのことが無い限り、この方法で微分方程式を計算してはならない。ただし、
常微分方程式を数値計算することのイメージがつかみやすいので、学習する勝ちはある。
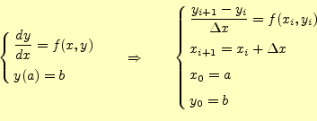
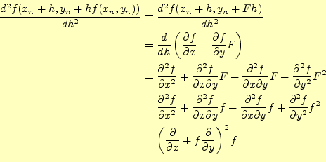
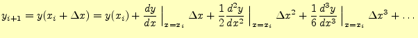
もう一度、初期条件を含めて数値計算により解くべき方程式を示す。
この微分方程式の解を

とすると、

のまわりのテイラー展開は、
となる。この式の右辺第2項は、式(
6) から計算で
きる。したがって、テイラー展開は、
 |
(8) |
と表すことができる。
オイラー法での数値計算では、計算の刻み幅
は十分に小さいとして、
 |
(9) |
を計算する。式(
5)と全く同じである。このとき計算の精度は1次と
言う。
3。
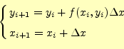
オイラー法をまとめると、以下に示すように微分方程式は差分方程式に近似できる。
これれから、オイラー法での数値計算の漸化式
となる。初期値

が決まれば、

が同
じ手続きで、芋づる式に計算できるのである。この芋づる式がコンピューターの得意なところで
る。通常、初期値

は問題で与えられる。
実際にプログラムを行うときは、forやwhileを用いて繰り返し計算を行う(芋
づる式の部分)。そして、計算結果の
と
は、配列x[i] やy[i]に格納
する。
x[0]=a;
y[0]=b;
while(計算終了条件){
delta_x や delta_y の計算
x[i+1]=x[i]+delta_x;
y[i+1]=y[i]+f(x[i],y[i])*delta_x;
}
この方法の計算のイメージは、図4の通りである。明らかに、出発
点の導関数のみ利用しているために精度が悪い。式も対称でないため、逆から計算すると
元に戻らない。
図 4:
オイラー法。ある区間での
の変化
は、計算の始めの
点の傾きに区間の幅
を乗じて、求めている。
|
|
- [練習1]
- 以下の微分方程式をオイラー法で計算して見よ。最初は刻み
幅を2として、
の範囲[0,10]で計算せよ。次に、刻み幅を
その半分にして見よ。
 |
(12) |
初期条件は、
の時、
とする。
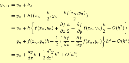
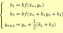
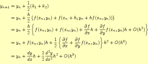
2次のルンゲ・クッタと呼ばれる方法は、いろいろある。ここでは、代表的なホイン法と
中点法を示す。オイラー法は1次の精度であったが、これらは2次の精度になる。
先に示したように、オイラー法の精度は1次です。それに対して、2次のルンゲ・クッタ法
の精度は2次となる。今まで刻み幅を

と記述してきたが、これからは少し式が
長くなるので、それを

と表現するこのとにする。
2次の精度ということは、テイラー展開より
 |
(13) |
となっていることを意味する。即ち、計算アルゴリズムが、
となっている必要がある。
式(14)から分かるように、
の増分
を計算するためには、
1階微分と2階微分の2項を満たす式が必要である。そうすると少なくとも、2点の値が必要と
なる。2点として、計算区間の両端の導関数の値を使うことにする。この導関数は問題とし
て与えられているので、計算は簡単である。そうして、区間の増分を
のパ
ラメーターとした和で表現する。即ち、
とあらわすのである。この

を上手に選ぶことにより、式(
![[*]](crossref.png)
)と同一にできる。
この式を
の回りでテイラー展開すると
 |
(16) |
となる。これを、式(
14)と比べると、

になるので
が得られる。これで、必要な式は求まった。まとめると、式
(
6)を数値計算で近似解を求めるには
を使うことになる。何のことはない、出発点と終着点の平均の傾きを使っているのである。
この式のイメージは、図
5の示すところである。オイラー法では、区間の
平均の傾きを出発点だけで決めていたが、ホイン法は両端で決めているのである。これに
より、計算精度が向上するのである。
図 5:
ホイン法。ある区間での
の変化
は、
計算の始めと終わりの点付近の平均傾きに区間の幅
を乗じて、求
めている。
|
|
よく見ると、この式(
18)は、本当に2次の精度なのか?、と疑問が湧く。

や

のパラメーターを計算したときの

の導関数は

を
使った。一方、式(
18)では、

を使っている。ほんのちょっ
との違いではあるが、式(
18)の精度をきちんと調べる必要がある。紙面の都
合上、精度の確認は2段階で行う。まず初めに、少なくとも2次の精度があることを確認す
る。その後、3 次の精度が無いことを示めす。
まずは、少なくとも2次の精度があることを確認である。漸化式は、
と変形できる。この結果は、まさに式(
7)と同じ形をしており、少なくとも
2次の精度があることが確認できる。
次に3次の精度がないことを示す。テイラー展開の3次の項は、係数は無視すると、
となる
4。
一方、ホイン法の3次の精度を表すのは、式(19)の右辺のテ
イラー展開の2次の項である。これは、
となる。
明らかに、テイラー展開の3次の項である式(20)とホイ
ン法の3次の項の式(21)は異なっている。したがって、ホイ
ン法は3次の精度がないことが分かる。少なくとも2次の精度があって、3次の精度がない
ことが示されわけで、、ホイン法は2次の精度であることが証明されたことになる。
これも、ホイン法と同じ2次の精度である。ホイン法は区間の両端の点の導関数
を使ったが、中点法は出発点と中点で漸化式を作る。先ほど同様、2点を使うので、2次の精度
にすることができる。ホイン法の式(
15)に対応するものは、
である。これを

の回りでテイラー展開すると、
 |
(23) |
となる。これを、式(
14)と比較すると、
となる必要がある。したがって、中点法の漸化式は、
となる。この公式のイメージを、図
6に示しておく。
式(
19)と同じ手順でを用いることにより、中点法が2次の精
度であることが証明できる。漸化式をテーラー展開すると、
が導かれる。ホイン法の場合と同様、これは、式(
7)の2次の部分まで等
しいので、少なくとも2次の精度があることが分かる。一方、3次の精度がない
ことは、以下の通り明らかである。式(
21)と比べ
て、微小変位

は、

異なるだけですので、計算結果は、
と直ちに導くことができる。これは、式(
20)と異なりま
すので、3次の精度がないことがはっきりしている。
図 6:
中点法。ある区間での
の変化
は、中点付近の傾きに
区間の幅
を乗じて、求めている。
|
|
今まで示したオイラー法や2次のルンゲ・クッタ法のように、パラメーターを増やして誤
差項の次数を上げていく方法で、最良の方法と言われるのが4次のルンゲ・クッタ法であ
る。パラメーターを増やして、5, 6, 7,

と誤差項を小さくすることは可能であ
るが、同じ計算量であれば4次のルンゲ・クッタの刻み幅を小さくするほうが精度が良い
と言われている。そのようなことから、私は5次以上のルンゲ・クッタの公式を見たこと
がない。
ということで、皆さんが常微分方程式を計算する必要が生じたときは、何はともあれ4次
のルンゲ・クッタで計算すべきである。「この問題を解く場合、4次のルンゲクッタだな」
と一言いって、プログラムを書き始めると、出来るなと思われること間違いなしである。
間違っても「2次のルンゲ・クッタ
」と言ってはいけません。「4次の方が
」と言う輩が必ずでてくる。普通の科学に携わる者にとって、4次のルンゲ・クッ
タは常微分方程式の最初で最後の解法である。
ただし、4次のルンゲ・クッタ法よりも精度の良い方法があることも知っておく必要があ
る。より高精度な方法として、Bulirsch-Store法や予測子・修正法などがある。進んだ勉強を
したいときに、学習するのがよいだろう。
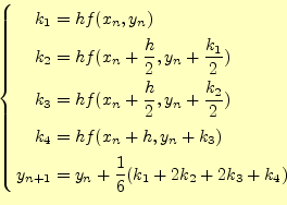
4次のルンゲ・クッタの公式は、式(28)に示す通りである。そして、これ
のイメージは図7のように表すことができる。
2次の場合と同じ手順で、公式を導き、そして4次の精度であることが証明できるであろう。
しかし、計算は明らかに大変なので、腕力のある人はトライせよ。
図 7:
4次のルンゲ・クッタ法。ある区間での
の変化
は、区間内の4点
の傾きのある種の加重平均に幅
を乗じて、求めている。
|
|
ホームページ:
Yamamoto's laboratory著者:
山本昌志
Yamamoto Masashi
平成19年6月24日