ここまで示した方法は、わりとエレガントな方法である。しかし、1階の常微分方程式しか
取り扱えないので不便きわまりないと思っている者もいるだろう。一般に、高階の常微分
方程式は、1階の連立微分方程式に変形できる。このことから、高階の常微分方程
式の近似解は、これまで示した方法を用いて計算できるようになる。諸君は、1階の常微
分方程式が計算できれば、ちょっとの工夫で高階のものも計算できるのである。
重要なことは、高階の常微分方程式を1階の連立微分方程式に直すことである。まずは、
その方法を示す。例えば、次のような2階の常微分方程式があったとする。
この方程式の右辺は、

の3つの関数に見えるが、実際には独立
変数は

のみである。

も、

も

の関数となっている。
この2階常微分方程式を1階の連立微分方程式にするために、
のように変数変換をする。すると、式(
29)は
と変形できる。これで、2階の常微分方程式が1階連立常微分方程式に変換されたことにな
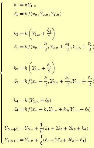
る。1階の微分方程式ということで、4次のルンゲ・クッタ法が使える。次のようにすれば
よい。
この漸化式を芋づる式に計算すれば、元の2階の微分方程式の近似解が求められるわけで
ある。近似解

は

となり、その微分も同時に計算され

であ
る。
以下の高解常微分方程式を連立1階微分方程式に書き換えなさい。
ホームページ:
Yamamoto's laboratory著者:
山本昌志
Yamamoto Masashi
平成19年6月24日