微分方程式は、物理や工学の分野で問題を解く強力なツールばかりか、生物や経済などで
も広く応用されている。自然科学や工学の問題を定量的に考察する場合、微分方程式ほど
強力な道具はない。この微分方程式を使うためには、方程式をる作ことと解くことが必要
である。ここでは、微分方程式を解くこと、特に数値計算により非常に精度の良い近似値
を求める方法を学習する。微分方程式には解析解が無いのが普通であるが、理工学上の諸
問題では精度良く解の近似値を求めたい状況にしばしば遭遇する。このような時、数値計
算の出番となる。数学に無い面白さがありますので、楽しんでください。
すでに学習したように、独立変数が二つ以上の多変数の関数の微分(偏微分)を含む微分方
程式を偏微分方程式(partial differential equation)という。それに対して、一変数の
関数の微分を含む方程式を常微分方程式(ordinary differential equation)という。ここ
では、常微分方程式、特に1 階の場合の解の近似値を求める方法を学習する。学習する方
程式の形は
である。1階だといってバカにはできない。後で述べることになるが、これが数値計算
できると、どんな高階の常微分方程式も同じ方法で計算ができるのである。数学だと1 解
が解ければ高階の微分方程式が解けるわけではないが、数値計算では可能なのである。
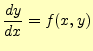
ここでの主題は、この微分方程式を満たす
を求めることになる。計算を進める前に、
この方程式が何を表すか考えることにする。式(1) の左辺は、解
の導関数となっている。即ち、解の曲線の接線を表す。導関数の値が座標
の関数になっ
ているので、座標が決まれば、その場の曲線の傾きが決きまることになる。
それでは、この常微分微分方程式のイメージをつかむことにする。それには、実際
の微分方程式を考えるのが良いであろう。例えば、
のような常微分方程式を考えることにする。いかにも難しげな微分方程式であるが、これ
には解析解がある。解析解はとりあえずおいておくことにして、この式の右辺を考える。
先ほど述べたように、これは接線の傾きを表す。座標によって、接線の傾きが決まってい
るので、それをを図示する。各座標の傾きを線の傾きで表すと、図
1のようになる。この傾きを方向場と言う。方向場から、大体
の解の様子がわかる。
この部分方程式の解析解は、
 |
(3) |
である。1階の微分方程式なので、1個の未知数を含む。この未知数の値が異なる5本の曲
線と、先ほどの方向場を重ねて書きすると、図
2のようになる。微分方
程式の解である曲線

が方向場に沿うことが理解できるであろう。元の微分方程式が
傾きを表すので、あたりまえのことである。
式(2)の微分方程式から、関数
の値を得るにはもう一つ条件が必
要である。通常この条件は、
のように与えられる。これを初期値といい、初
期値が与えられるものを初期値問題という。一方、2 点以上のxで定めるyの値が決まって
いるような問題を境界値問題という2。ここでは、もっぱら初期値問題
を解くことにする。
図:
微分方程式
の方向場
|
|
初期値問題を計算するルーチンの基礎的な考え方はどれも似通っており、次に述べるとお
りである。。まず(
1)式の微分方程式を、極限の

の代わりに有
限な

に置き換える。

が小さければ、元の微分方程式の良い近似になる
はずである。すると、式(
1)の微分方程式は、
 |
(4) |
のように近似できる。これを用いて、

から

離れた

の値

を計
算する。
この式と初期値

を用いると、次々に

が計算できる。
式(5)は、
- 次の
値は、もとの
に、そこでの傾き
に
の増分
を乗じたものを加えることにより求められる。
と言っているのである。イメージにすると、図
3のようになる。
この図からも分かるようにこの方法をそのまま適用した場合(オイラー法)、精度がよくな
い。出発点のみの導関数を用いているため、終点付近では傾きが異なるからである。刻み
巾

を小さくすることにより解決できるが、その分、計算時間が必要になる。そ
のため、

と

の間で、出来るだけ精度よく、この間の導関数の平均を計算する工
夫がいろいろ考えられている。これから、以降その方法を示すことになる。。
図 3:
方向場と微分方程式の解
と
|
|
ホームページ:
Yamamoto's laboratory著者:
山本昌志
Yamamoto Masashi
平成19年6月24日