グリーンの定理は,1変数の関数の部分積分の公式に似ている.部分積分は,関数の積の微分
 |
(19) |
から導ける.両辺を積分し,順番を入れ替えると
 |
(20) |
となり,部分積分の公式が導かれた.
このように単純な方法で導かれる部分積分の公式は,本当に便利でいたるところに現れる.
このベクトル解析版が,次に述べるグリーンの定理である.
【証明】 1
ベクトル解析の恒等式
の両辺を体積積分する.左辺にはガウスの定理を用いると,
 |
(24) |
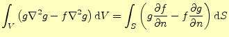
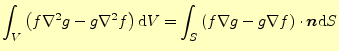
である.これで,式(21)が証明できた.
式(23)と,これの
と
を入れ替変えたの辺々を引き
算すると,
 |
(25) |
となる.同じように体積積分をしてガウスの定理を使うと,式(22)を得る
ことができる.
注意 1
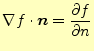
グリーンの定理は,
 |
(26) |
として,
 |
(27) |
 |
(28) |
と書かれる場合もある.
ホームページ:
Yamamoto's laboratory著者:
山本昌志
Yamamoto Masashi
平成18年5月26日