大きさの無い電荷や,作用している時間がゼロの衝撃力等を表したいことがある.このよ
うな場合,ディラックのデルタ関数

を使うと便利である.この関数は,

のとき無限大の値となり,

ならば値はゼロとなる.そして,積分を行うと1とな
る関数
2である(図
1).すなわち,
である.これを使うと,都合良く電荷密度を表すことができるが,それはこれからの講義
内容である.しかし,衝撃力を表すのにうってつけであることは理解できるであろう.
いろいろな
関数が考えられる.その中でも,直感的にもっともわかり易いの
は,図2のようなものである.この図の
の極
限をデルタ関数とする.デルタ関数の定義である式(1)や
(2)を満足していることが分かるだろう.
|
図 2:
の極限がデルタ関数
|
|
|
このデルタ関数の重要な関係式を示しておこう.
まずは,
 |
(3) |
である.これは,図
2をデルタ関数として,次のようにして計算できる.
先ほどの積分は直感的に理解できるであろう.それに対して,次はちょっと難しい.
 |
(5) |
これは,次のように,部分積分を使って計算する.
これは,計算するまでもなく.
 |
(7) |
となる.これは,非常に短いパルスのノイズは,広帯域の周波数成分があることを示して
いる.これは,フィルターで取り除くことは難しい.
一次元とほとんど,同じで
となる.振舞いは,一次元とほぼ同じなので,細かい説明はしない.
後で重要となる公式である.電磁気学では,とくに有用である.
これを証明するためには,ちょっと頑張らなくてはならない.まずは,左辺であるが,以
前の課題に出したように
となる.これで,式(
8)の原点(

)以外は証明できた.
原点
での値を計算するために,式(10)の左辺を体積積
分する.図3のように,原点を含まない場合,
 |
(12) |
となる.いまのところ,この結果には面白いところはない.値がゼロのところを積分して,
ゼロが得られただけである.
図4のように積分領域に原点が含まれる場合,大事な結果が得ら
れる.原点は特異点なので,そのまま積分はできない.そこで,原点を含まない領域で積
分をする.複素関数論でコーシーの積分公式を導くのとと同じ方法である.このようにすると,積分領域に
原点が含まれなくなり,積分の値はゼロとなる.そして,連結部を非常に小さくとり,体
積積分を面積積分に直すガウスの定理を使うと,式(10)の左辺の体
積積分は
となる.この領域内に原点は含まれないので,この積分の値はゼロとなる.従って,
 |
(14) |
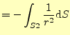
この右辺の領域を球形にする.すると図から明らかに,

は

とな
る.右辺は,表面積を乗じるだけで
となる.従って,
 |
(16) |
となる.これと,式(
11)から,形式的に
 |
(17) |
とかける.これで,式(
10)が証明できた.これは,今後しばしばお
目にかかる式である.
また,
 |
(18) |
と書かれることも多い.
ホームページ:
Yamamoto's laboratory著者:
山本昌志
Yamamoto Masashi
平成18年5月26日