数学的にグリーン関数をきっちり説明するとなると,厳密な定義と論理,計算が求められ厄介そ
うである.また,直感的にイメージがつかみにくくなる.ここでは,こんなもんであると
いうようなええかげんな話をする.数学的なちゃんとした定義を知りたければ,各自勉強せよ.
図1のように,金属空洞の中に電荷が有る状況を考える.電荷は動か
ないものとして,その中の静電ポテンシャルを求めよ--というのが問題である.当然こ
れは,ポアソン方程式
を満足する.これを決められた境界条件--金属ではポテンシャルがゼロ--で計算すれば
良い.これは,今まで学習してきた通り.
つぎに,図2のような状況を考える.空洞中の場所
にデルタ関数のような電荷が有る場合である.この場合,ポアソン方程
式は
となる.この

がグリーン関数である.このグリーン関数は,
ポテンシャルを観測する位置

と電荷のある位置

の関数である.
このグリーン関数が分かると,元のポアソン方程式(1)の解は,
と書くことができる.

について積分したため,

とプラ
イムの記号がついている.なぜ,これが成り立つか?--疑問に思えるだろう.この結果を
元のポアソン方程式に代入してみる.
 |
 |
|
| |
は
の微分,
は
に終の積分なので順序を変えても良いだろう |
|
| |
 |
|
| |
 |
|
| |
 |
(4) |
式(
3)は,ポアソン方程式の解になっているのである.
これの何がうれしいの?--と言う疑問があるだろう.これは,境界のみで決まる方程式
(2)の解
が分かれば,内部にどの
ように電荷が分布
しようとも,積分を行うだけで,内部のポテンシャルが
分かると言っているのである.あとで分かるがかなり便利である.
そもそもこのようなことが,言えるのはラプラス演算子が線形演算子になっているからで
ある.式(4)までで,線形演算子といことを使っている.ど
こだろうか?--捜してみよ.
なにも,グリーン関数はポアソン方程式に限らない.もう少しまともに,グリーン関数を
定義しよう.線形演算子

を作用した微分方程式
を考える.

が求めたい方程式で,

は既知の関数である.

の前にマ
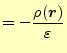
イナス符号がついている理由は,電磁気学で現れる方程式にあわせているためである.ポ
アソン方程式も,つぎに学習するソースの有る波動方程式もマイナス符号がついている.
ただし,一般的にはプラスでもさしつかいない.この微分方程式の解は,
と書ける.このように解を書いたときに

がグリーン関数である.このグ
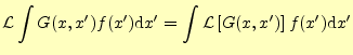
リーン関数を求めるためにはどうすればよいだろうか?.そのためには,解の式の両辺に
線形演算子

を作用させる.左辺は,
となる.右辺は,
である.式(
7)と式(
8)の右
辺は,もともと式(
6)の両辺から導いたものなので,等しい.
すなわち,
![$\displaystyle -f(x)=\int \mathcal{L}\left[G(x,x^\prime)\right]f(x^\prime)\mathrm{d}x^\prime$](img26.png) |
(9) |
である.これから,
でなくてはならないことが分かる.これがグリーン関数を求めるときの微分方程式である.
この微分方程式が成り立てば,式(
6)は式
(
5)の解となっている.
ある関数がグリーン関数になっているか否か?--調べたい.もちろん,微分方程式
(
10)を満足していれば良い.左辺は微分なので計算でき
る.したがって,最初の条件は

以外では,
となればよい.残りは,

のときである.この場合,

は無限大になってしまい,取扱いができない.そこで,式
(
10)を積分した
 |
(12) |
が第二の条件となる.
本当は式(6)で定義されたグリーン関数が一意に決まることを
示さなくてはならないが,それは数学の教科書に任せる.それよりも,諸君はグリーン関
数の大まかな意味を知り,使いこなすことが重要である.
いろいろな場面でグリーン関数は使われる.先に示したポアソン方程式を解くときのグリー
ン関数は,
である.他にもいろいろあるが,書いている時間が無い.自分で調べてみよ.
ホームページ:
Yamamoto's laboratory著者:
山本昌志
Yamamoto Masashi
平成18年9月24日