この辺の議論は,文献 [
1]を参考にしている.というかほとん
ど同じ.この教科書は上級者向きであるが分かりやすい.文献
[
2]物理的なイメージを大事にして分かり易く説明している.
以前の講義では,自由空間の波動方程式の解--ダランベールの解--を示した.それで,
分かったことは波が伝播することであった.この式だけでは,波の原因が分からない.一
般に,波の原因となるソース(源)を含んだ式は,
 |
(14) |
のように記述される.この解をグリーン関数を使って,
計算する.式(
10)より,グリーン関数が満たすべき微分
方程式は,
となる.この式のイメージを図
3に示す.
図 3:
ソースがある場合のグリーン関数のイメージ.式
(16)を表しており,波は速度
で広がる.
|
|
これをいきなり解くのはのは大変である.時刻の微分がある場合の常套手段は,周波数領
域で計算することである.時刻を種は数に直すためにはフーリェ積分(変換)を使う.
時刻

について,グリーン関数とデルタ関数をフーリェ積分で表せば,時間微分の項を
取り除くことができる.まずグリーン関数であるが,
 |
 |
(19) |
となる.デルタ関数の方はちょっと面倒であるが,
のようにする.これはフーリェ級数を学習した時のおなじみの式である.これら,フーリェ積
分で表現されたグリーン関数とデルタ関数を元の式(
16)に代
入すると
 |
(21) |
が得られる.これが成り立つためには,

各周波数成分にたいして,
 |
(22) |
の条件が必要である.これを解き易くするために
 |
(23) |
と書き直す.つぎに,式(
11)にしめしたようにグリーン関数は
同次微分方程式
 |
(24) |
を満たさなくてはならない.ここで,式を簡約するために,

を

とおく.する
と,
 |
(25) |
となり,やっと解けるような気がする式になった.
対称性を考えると
は
を中心とした球対称な関数で,距離のみの関数はずである.そこで,
を
とおいて,球座標系のラプラシアンを導入すると
 |
(26) |
となる.この微分方程式の一般解は,
 |
(27) |
となる.したがって,
 |
(28) |
となる.積分定数の

と

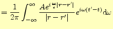
は後から決める.逆フーリェ積分を使って,周波数領域から
時間領域に直す.
 |
(29) |
ここで,係数

と

に関する2つの波がある.

の方はソースから外に拡散する波で,

の方は外からソースに向かう波である.2つとも波動方程式の解となりうるが,ここで
問題としているのはソースから拡散する波である.そこで,

とおく.すると,
となる.式(
20)の示すところによると,この式の右辺は

関
数になっている.したがって,
 |
 |
(31) |
となる.積分定数

は,式
12が成り立つようにきめる.した
がって,
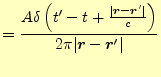
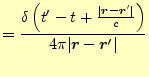
となる.
計算は結構複雑で,わかり難かったと思う.私もわかり難い.straght fowardの計算となっ
ていない.もう少し簡単な方法を考えなくてはならない.計算過程は複雑であったが,そ
の結果は直感的に分かる.直感的に導くこともできるであろう.この式の言っていること
は,次のとおりである.
- 波の振幅は,距離に反比例する.よく知られているように波のエネルギーは振幅
の2乗に比例する.そして3次元の波は距離2乗に比例して表面積が大きくなる.したがっ
て,エネルギーが保存するためには波の振幅は距離に比例しなくてはならない.当たり
前の結果が得られている.
関数の部分が言っていることは,波の速度は
で伝わる--ということで
ある.観測点で波を観測する時刻
を求めてみよ(
関数の独立変数がゼロとな
るとき).
ホームページ:
Yamamoto's laboratory著者:
山本昌志
Yamamoto Masashi
平成18年9月24日