このあたりの説明は、参考文献 [
1]を大いに参考にした。これは分
かりやすい教科書なので、読んでみると良いだろう。
1次元波動方程式を数値計で解くことを考える。その前に、解くべき方程式と条件をきち
んと書いておく。解くべき方程式と条件は、
となる。弦を伝わる波の速度は1、弦の長さも1としている。この最初の式は波動方程式で
あるが、2番目を初期条件、3番目を境界条件と言う。2番目の初期条件は、

の時の弦
の状態を示しており、

はそのときの弦の形(変位)、

は弦の変位の速度で
ある。
波動方程式の他に、初期条件と境界条件がある。力学的状態は、ある時刻、ここでは
の時の変位とその変位の速度が決まれば、それ以降を決めることができる。振動の
場合は、これに加えて更に、振動の境界条件を決める必要がある。これらが決まって初め
て、波動方程式とともに、振動の状態、ある時刻と位置の変位の値が決まるわけである。
図4に初期条件と境界条件の様子を示す。
図 2:
時刻
のときの弦の様子(スナップショット)。初期条件と境界
条件が表されており、y方向の速度が
になっている。
|
|
まずは、波動方程式を差分方程式に書き直すことからはじめる。これも、いつものように、
解
をテイラー展開する。x方向の微小変位を
、時間軸方向の微小変位
を
とする。すると、
となる。これらの式の辺々を足し合わせえると、
が得られる。このことから、2階の偏導関数の値は微小変位

の場所の関数の
値を用いて、

の精度で近似計算ができることが分かる。すなわち、式(
6)の右辺の第1項を計算すればよいのである。ラプラス
方程式と同じである。同様なことを時間軸方向についても行うと
が得られる。
これらの式(6)と(7)を元の波動
方程式(4)に代入すれば、
となる。これが、1次元波動方程式の差分の式である。この式を計算し易いように、もう
少し変形すると、
とすることができる。この式の右辺は、時刻

と

の値でである。そして、
左辺は時刻

の値である。このことから、式(
9)を用いると、時
刻

と

の値から、

の値が計算できることになる。
実際に式(9)を数値計算する場合、x方向には
、時間軸方向には
毎に分割する。ラプラス方程式を格子点で分割したのと同じである。格子点に
分割し数値計算する場合、
や
と表現するよりは、
と表現したほうが便利である。そこで、
と表現を改める。このようにすると、式(
9)は
となり、数値計算し易い形になる。ただし、
 |
(12) |
である。
この式を用いた計算の様子を図3に示す。
波動方程式というけったいな偏微分方程式が、ただ単に数値を順番に代入していく式に変
換されたわけである。この計算は非常に簡単である。ただ、時間領域を1000分割
(
)、x軸領域も1000分割(
)すると、100万回の計算が必要であるが、
コンピューターにとって、その程度の計算は大したことはない。
式(
11)を計算すると、

の状態から、時間の経過によって弦の様子が
どうなるか分かる。以下のように、芋づる式に、弦の変位が計算できるわけである。
このように、計算を盲目的に進めれば、弦の振動の式(
4)
の数値計算の結果である近似解が得られる。当然、境界条件
 |
(13) |
を、忘れてはならない。
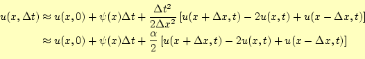
これを計算するためには、まず、
の値を決める
必要がある。これ以前の状態が分からないので、式(11)は使えないが、式
(4)の初期条件が使える。すなわち、
 |
(14) |
である。
次に、
を計算するわけであるが、まだ、式
(11)は使えない。なぜならば、この式は2つ前の状態まで必要なので、こ
れまでのところ、一つ前の状態しか分かっていないからである。そこで、2番目の初期条
件(変位の速度)を使うことになる。計算したい量は
なので、とりあえず
テーラー展開してみる。これを、
の周りでテーラー展開すると、
となる。この右辺の第1と2項は簡単に計算できる。問題は第3項であるが、これは見覚え
のある式である。式
6と同じである。これを代入すると、
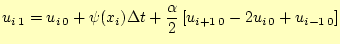
となる。これは、めでたい式である。右辺は、

のみの値で構成されている。これで、

が計算可能になった。この式から、
![$\displaystyle u_{i 1}=u_{i 0} +\psi(x_i)\Delta t +\frac{\alpha}{2}\left[ u_{i+1 0}-2u_{i 0}+u_{i-1 0}\right]$](img45.png) |
(17) |
が得られる。
以上より、
と
が得られたわけである。
以降は、
式(11)に従い、計算すればよい。
ホームページ:
Yamamoto's laboratory著者:
山本昌志
Yamamoto Masashi
平成17年2月18日