1 波動方程式とは

ラプラス方程式が済んだので、次に波動方程式に移ろう。その前に、2階の偏微分方程式 の種類について説明しておく。2階の偏微分方程式は、ラプラス方程式のように楕円型、 次に学習する波動方程式のような双曲型、学習はしないが拡散方程式のような放物型に分 けられる。これが、2階の偏微分方程式の代表的な型である。これらの解法を知っておけ ば、自然現象の多くの問題を計算することができる。いうなれば、超基本の方程式である。

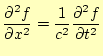
波動方程式は、名前が表しているように波の方程式である。自然科学では、波を扱うこと が非常に多い。光、電磁波、量子力学等の問題は全て波を取り扱っている。いろいろな場 面で出くわす波の方程式は簡単で、

$\displaystyle \frac{\partial^2 f}{\partial x^2}+ \frac{\partial^2 f}{\partial y...
...rac{\partial^2 f}{\partial z^2}= \frac{1}{c^2}\frac{\partial^2 f}{\partial t^2}$ (1)

と書き表すことができる。$ c$は波の速度である。これは、3次元の場合で、時間を入れる と4次元の方程式になり、ちょっと計算するには複雑である。そこで、ここでは空間1次元、 時間1次元の2次元の方程式

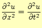
$\displaystyle \frac{\partial^2 f}{\partial x^2}= \frac{1}{c^2}\frac{\partial^2 f}{\partial t^2}$ (2)

を数値計算で解くことを考える。

皆さんは、フーリエ級数を学習したときに、この方程式を解いたとはずである。ここでは、 数値計算により近似解を得る方法を学習する。もちろん、フーリエ級数で解いた解は、解 析解で完璧である。ただ、フーリエ級数が適用できるのは、空間が1次元の場合である。2 次元以上になると境界条件が簡単な場合に限り、フーリエ級数を用いて計算できる。境界 が複雑になると、数値計算で近似解を求めることが重要になる。数値計算は、空間が2次 元以上の問題で威力を発揮することになるが、ここでは学習のため、空間が1次元の問題 を解くことにする。

具体的な問題を例にして、学習を進める。比較的単純な問題として、図1の ような弦の振動を考える。これは、ギターのように両端が固定された弦である。ある時刻 $ t$の位置$ x$の変位を$ u(x,t)$としている。この変位は波動方程式、

$\displaystyle \frac{\partial^2 u}{\partial x^2}= \frac{\partial^2 u}{\partial t^2}$ (3)

を満たす。ただし、波の速度は$ c=1$とした。こうしても、波動方程式を解くと言う意味 はそうは変わらないし、計算が楽になるメリットはある。
図 1: 時刻tの弦の様子。
\includegraphics[keepaspectratio, scale=0.85]{figure/gen.eps}



ホームページ: Yamamoto's laboratory
著者: 山本昌志
Yamamoto Masashi
平成17年2月18日


no counter