2 直線要素

2.1 座標変換

三角形1次要素の場合は一つの要素が持つ節点の数は3つだったが、三角形2次 要素では6つとなる。

2次要素の場合、まず1次要素と同じに頂点に節点を3つ持ち、そのほかに辺の 真ん中に3つ節点を持つ。つまり、図1のように節点を持ってい ることになる。 また、座標変換したときの三角形要素を図2に示す。

図 1: 2次要素の節点
\includegraphics[width=70mm]{setten.eps}
図 2: 座標変換した2次要素の節点
\includegraphics[width=70mm]{henkan_setten.eps}

この変換の式は以下のようになる。

$\displaystyle x$ $\displaystyle = (x_1-x_3)x' +(x_2-x_3)y' +x_3$ (1)
$\displaystyle y$ $\displaystyle = (y_1-y_3)x' +(y_2-y_3)y' +y_3$ (2)

この式より、$ x',y'$は以下のようになる。

$\displaystyle x'$ $\displaystyle = \frac{(x-x_3)(y_2-y_3) -(y-y_3)(x_2-x_3)} {(x_1-x_3)(y_2-y_3) -(y_1-y_3)(x_2-x_3)}$ (3)
$\displaystyle y'$ $\displaystyle = \frac{(x_1-x_3)(y-y_3) -(y_1-y_3)(x-x_3)} {(x_1-x_3)(y_2-y_3) -(y_1-y_3)(x_2-x_3)}$ (4)

また、この座標変換のヤコビアン行列 $ \boldsymbol{J}_1$ およびヤコビアン $ \vert\boldsymbol{J}_1\vert$は以下のようになる。

$\displaystyle = \begin{bmatrix}\frac{\partial x}{\partial x'} & \frac{\partial ...
...{bmatrix} = \begin{bmatrix}x_1-x_3 & y_1-y_3 \ x_2-x_3 & y_2-y_3 \end{bmatrix}$ (5)
$\displaystyle \vert\boldsymbol{J}_1\vert$ $\displaystyle = (x_1-x_3)(y_2-y_3)-(y_1-y_3)(x_2-x_3)$ (6)

2.2 形状関数

2次要素の場合も1次要素と同じように形状関数は、ある節点の座標では1にな り、ほかの節点では0になるような関数を考える。このように考えると要素内部 は次の式のように表される。 ここで、求めるべき関数を$ u(x,y)$とし、形状関数は$ g_i(x,y)$としている。 $ u_i$は節点$ i$での$ u$の値である。

$\displaystyle u(x,y) = u_1 g_1 +u_2 g_2 +u_3 g_3 +u_4 g_4 +u_5 g_5 +u_6 g_6$ (7)

ここで、$ g_i$を具体的に決めなければならないが、これは2次関数で、節点$ i$ では$ g_i=1$、それ以外の節点では$ g_i=0$となることを考えると簡単に決まる。 とくに座標変換した座標系で考えると楽である。 形状関数は以下のようになる。

$\displaystyle g_1(x',y')$ $\displaystyle = 2 x' \left( x'-\frac{1}{2} \right)$ (8)
$\displaystyle g_2(x',y')$ $\displaystyle = 2 y' \left( y'-\frac{1}{2} \right)$ (9)
$\displaystyle g_3(x',y')$ $\displaystyle = 2 (-x'-y'+1)\left( -x' -y' -\frac{1}{2} \right)$ (10)
$\displaystyle g_4(x',y')$ $\displaystyle = 4 x'y'$ (11)
$\displaystyle g_5(x',y')$ $\displaystyle = 4 y'(y'-x'+1)$ (12)
$\displaystyle g_6(x',y')$ $\displaystyle = 4 x'(x'-y'+1)$ (13)

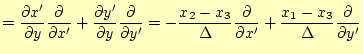
また、形状関数の$ x$偏微分、$ y$偏微分を求めると、

$\displaystyle \begin{bmatrix}\frac{\partial }{\partial x} \\ \frac{\partial }{\...
...ix}\frac{\partial }{\partial x'} \\ \frac{\partial }{\partial y'} \end{bmatrix}$ (14)

より

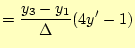
$\displaystyle \frac{\partial }{\partial x}$ $\displaystyle = \frac{\partial x'}{\partial x} \frac{\partial }{\partial x'} +\...
...c{\partial }{\partial x'} -\frac{y_1-y_3}{\Delta} \frac{\partial }{\partial y'}$ (15)
$\displaystyle \frac{\partial }{\partial y}$ $\displaystyle = \frac{\partial x'}{\partial y} \frac{\partial }{\partial x'} +\...
...c{\partial }{\partial x'} +\frac{x_1-x_3}{\Delta} \frac{\partial }{\partial y'}$ (16)

を考慮し、以下のようになる。

$\displaystyle \frac{\partial g_1}{\partial x}$ $\displaystyle = \frac{y_2-y_3}{\Delta} (4x'-1)$ (17)
$\displaystyle \frac{\partial g_1}{\partial y}$ $\displaystyle = \frac{x_3-x_2}{\Delta} (4x'-1)$ (18)
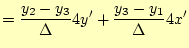
$\displaystyle \frac{\partial g_2}{\partial x}$ $\displaystyle = \frac{y_3-y_1}{\Delta} (4y'-1)$ (19)
$\displaystyle \frac{\partial g_2}{\partial y}$ $\displaystyle = \frac{x_1-x_3}{\Delta} (4y'-1)$ (20)
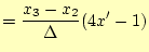
$\displaystyle \frac{\partial g_3}{\partial x}$ $\displaystyle = \frac{y_1-y_2}{\Delta} (-4x'-4y'+3)$ (21)
$\displaystyle \frac{\partial g_3}{\partial y}$ $\displaystyle = \frac{x_2-x_1}{\Delta} (-4x'-4y'+3)$ (22)
$\displaystyle \frac{\partial g_4}{\partial x}$ $\displaystyle = \frac{y_2-y_3}{\Delta} 4y' +\frac{y_3-y_1}{\Delta} 4x'$ (23)
$\displaystyle \frac{\partial g_4}{\partial y}$ $\displaystyle = \frac{x_3-x_2}{\Delta} 4y' +\frac{x_1-x_3}{\Delta} 4x'$ (24)
$\displaystyle \frac{\partial g_5}{\partial x}$ $\displaystyle = \frac{y_2-y_3}{\Delta}(-4y') +\frac{y_3-y_1}{\Delta}(-8y'-4x'+4)$ (25)
$\displaystyle \frac{\partial g_5}{\partial y}$ $\displaystyle = \frac{x_3-x_2}{\Delta}(-4y') +\frac{x_1-x_3}{\Delta}(-8y'-4x'+4)$ (26)
$\displaystyle \frac{\partial g_6}{\partial x}$ $\displaystyle = \frac{y_2-y_3}{\Delta}(-8x'-4y'+4) +\frac{y_3-y_1}{\Delta}(-4x')$ (27)
$\displaystyle \frac{\partial g_6}{\partial y}$ $\displaystyle = \frac{x_3-x_2}{\Delta}(-8x'-4y'+4) +\frac{x_1-x_3}{\Delta}(-4x')$ (28)


ホームページ: Yamamoto's laboratory
著者: 夏井拓也
natui takuya
平成18年1月11日


no counter