大きさの無い電荷や,作用している時間がゼロの衝撃力等を表したいことがある.このよ
うな場合,ディラックのデルタ関数

を使うと便利である.この関数は,

のとき無限大の値となり,

ならば値はゼロとなる.そして,積分を行うと1とな
る関数
2である(図
1).すなわち,
である.これを使うと,都合良く電荷密度を表すことができるが,それはこれからの講義
内容である.しかし,衝撃力を表すのにうってつけであることは理解できるであろう.
いろいろな
関数が考えられる.その中でも,直感的にもっともわかり易いの
は,図2のようなものである.この図の
の極
限をデルタ関数とする.デルタ関数の定義である式(4)や
(5)を満足していることが分かるだろう.
|
図 2:
の極限がデルタ関数
|
|
|
このデルタ関数の重要な関係式を示しておこう.
まずは,
 |
(6) |
である.これは,図
2をデルタ関数として,次のようにして計算できる.
先ほどの積分は直感的に理解できるであろう.それに対して,次はちょっと難しい.
 |
(8) |
これは,次のように,部分積分を使って計算する.
これは,計算するまでもなく.
 |
(10) |
となる.これは,非常に短いパルスのノイズは,広帯域の周波数成分があることを示して
いる.短パルスのノイズは広帯域なので,フィルターで取り除くことは難しい.
一次元とほとんど同じで,三次元に拡張することができる.基本的な
性質は,
である.同様に積分は,
 |
(12) |
となる.これらの振舞いは,一次元とほぼ同じなので,細かい説明はしない.
これまで,デルタ関数のいろいろな性質を見てきた.いったい,デルタ関数はどのように
定義すればよいのだろうか? これまででもっとも一般的な--デルタ関数の性質に関して
最も広い範囲をカバーする--式は,
である.式(
4)や式(
5)に代わり,これ
をデルタ関数の定義
3としよう.これが関数の定義としてふさわしいかどうか--という議
論もあるだろう.ちゃんとした定義は数学者に考えてもらえばよく,我々はこれで十分で
ある.物理的な内容を便利に表すことができるからである.
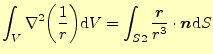
つぎにラプラス演算子との関係を示す.後に重要となる公式で,電磁気学ではとくに有用
である.もっとも重要な公式は,
である.
これを証明するためには,ちょっと頑張らなくてはならない.まずは,左辺であるが,以
前の課題に出したように
となる.これで,式(
11)の原点(

)以外は証明でき
た.原点は特異点となる.
原点
での値を計算するために,式(15)の左辺を体積
分する.図3のように,原点を含まない場合,
 |
(17) |
となる.いまのところ,この結果には面白いところはない.値がゼロのところを積分して,
ゼロが得られただけである.
図4のように積分領域に原点が含まれる場合,大事な結果が得ら
れる.原点は特異点なので,そのまま積分はできない.そこで,原点を含まない領域で積
分をする.複素関数論でコーシーの積分公式を導くのとと同じ方法である.このようにすると,積分領域に
原点が含まれなくなり,積分の値はゼロとなる.そして,連結部を非常に小さくとり,体
体積分を面積分に直すガウスの定理を使うと,式(15)の左辺の体
積分は
となる.ここで,

は原点を含まない領域に対して,

は原点を含む.

には原点が含まれないので,積分の値はゼロとなる.従って,
 |
(19) |
となる.これで原点を含んだ領域

の積分の準備ができた.この右辺の領域を球形にす
る.すると図から明らかに,

は

となる.右辺は,表面積を乗じ
るだけで
となる.従って,
となる.これと,式(
16)とデルタ関数の定義から,
とかける.これで,式(
15)が証明できた.これは,今後しばしばお
目にかかる式である.ただし,積分を行うときに重要な意味があることを忘れてはならな
い.
ところで,式(21)は不思議な式である.被積分関数は原点を除
いてゼロである.原点の値は不定であるが,積分を行うとちゃんとした値になる.
次に被積分関数の特異点の位置を変えてみよう.先ほどは原点に特異点があったが,ここ
では位置

に特異点を移動する.この場合,明らかに
 |
(23) |
となる.このとき,

という関係も満
たす.絶対値--位置ベクトル

と

の距離--はどちらを基準にし
ても変化がないからである.これより,
 |
(24) |
が得られる.
また,デルタ関数の性質より,
である.デルタ関数の
定義の式(13)に関する矛盾はない.次に式
(14)に関しては,実際に計算してみる.途中,変数変換
を使うと,
となる.これから,

がいえるの
である.こんな面倒なことをしなくても,直感的に理解できるだろう.
ここでの結果をまとめると,次のようになる.
 |
(26) |
次に,

に作用するラプラス演算子
 |
(27) |
を導入する.先ほどの結果から,明らかに
 |
(28) |
の関係がある.すべての変数を,プライムの付くものと付かないものを入れ替えただけで
ある.
これらの結果をまとめると,
となる.プライムが付くものと付かないものを入れ替えてよいのである.これは後々,か
なり便利に使える.
この入れ替えができる演算は限られており,次のような場合は入れ替えができないことに
注意が必要だ.
ホームページ:
Yamamoto's laboratory著者:
山本昌志
Yamamoto Masashi
平成19年7月5日