図1のような状況を考える.送信者はメッセージ2を送り,
受信者はそれを受け取る.通信路の途中に雑音源があり,メッセージが変わることがある.
こういうことは,結構頻繁に生じる.遠距離の通信,例えば宇宙探査船が惑星の画像を送
る場合,かなりの確率で誤りが生じる.微弱な電波で長距離を伝送するからである.これほど
のことはないが,地上内の通信でも誤りの発生確率をゼロにすることはできない.熱雑音
を避けることはできないからである.宇宙線が問題になることもある.
図 1:
誤りのある通信の例.糸電話で通
信しているが,途中ノイズで波が鍋になっている.
|
|
これから,誤りのある通信路の理論的な考察を行う.ある程度の式を使うことになるが,
意味さえ分かれば難しいことは何もない.
送信者は,メッセージ
を送る.もし,アルファベット26文字のいずれかを送るなら
ば,
と考える.また,0か1のバイナリーデータを送るならば,
である.ここで,送信者が文字
を送る確率を
とする.すると,
 |
(1) |
である.送信者は,いずれかの文字を送るので,各々の確率を加えると1になるだけであ
る.
メッセージを受け取る受信者の方も同じで,受け取る文字を
とする.ここでは,受
け取る文字の確率を
とする.もちろん,いずれかの文字を受け取るので,その和
は1になる.
ここで,文字数が多くなると議論が複雑になるので,もっとも単純な二元対称通信路
(binary symeetric chanel)を考える.これは,図2
のような通信路で以下のように特徴づけられる.
- 通信に使う文字は
の2種類である.送信者は,これらの文字のみが送信で
きる.受信者は,こらの文字のみを受け取る.これが,二元対称通信路の「二元」という
ことを表している.
- 途中で誤りが発生する確率
は,
も
も同じである.この場合,
誤りが発生しない;
あるいは
で正しく通信できる確率は
と
なる.これが,二元対称通信路の「対称」ということを表している.
いつでもこのような状況が生じるわけではなく,このような理想的な状況を考える--と
いうことを理解しておく必要がある.例えば,'0'あるいは'1'という文字を送ったが,そ
れが途中で失われて,受信者には何も届かないこともある.また,'0'を送るときは
90[%]正しく通信ができるが,'1'を送るときには30[%]しか正しく通信できないことも
ある.これは対称ではない.
図 2:
二元対称性通信路.送信者,受信
者とも
の符号を使う.通信途中で誤りが生じ,符号が入れ替わることがある.
通信途中で誤りが生じる確率は
,正しく通信ができる確率
である.
|
|
この2元対称通信路の場合,もっとも「質の悪い」エラーとはどのようなものだろうか?
100[%]の確率(
)で,エラーが起きる場合か? この場合,送られるメッセージと受け取るメッ
セージは,
のようになる.受信者は,受け取ったメッセージから送っ
たメッセージが分かる.'0'と'1'を反転させれば良い.エラーが0[%]の時と同じだけ情
報を受け取ることができる.もっとも「質の悪い」エラーは50[%]の確率(
)でエラーが発生
する場合である.この場合,受け取るメッセージはランダムに'0'と'1'が並んだ数列に
なり,送信者の送った情報を全く受け取ることができない3.
これから,誤りがある通信路の理論的な考察を行う.そのために,図
3に示すシステムを考える.このシステムは,送信者
がある
文字
を送ると,受信者は
を受け取る.途中,信号にノイズが入り,メッセージ
が変化する可能性がある.それぞれの確率(probability)を以下のように定義する.
送信者が文字
を送信する確率.
受信者が文字
を受け取る確率.
送信者が
を送り,受信者が
を受け取る確率.
注意
は関数ではない.また,添え字の
や
は送信/受信順序を表す
ものではない.
と
は文字の区別を行っている.
言うまでもないと思うが,全ての確率を加えると1になる.したがって,先ほど示したそれぞれ
の確率は
となる.また,
という関係も直ちに分かる.
図 3:
から
へメッセージを送る場合の確率.
は送信者が
を送る
確率.
は受信者が
を受け取る確率.
は,メッセージ
となる確率.
|
|
ここで,
と考える人がいるかもしれない.それは間違いである.次の
ような二元対称通信路(図4)を考えれば,明らかである.
- 誤りが全く生じない場合を考える.送信者が'0'を送れば,受信者は必ず'0'を受
け取る.反対に'1'を送れば,'1'を受け取る.
- 送信者が'0'および'1'を送る確率は,それぞれ0.5である.すなわち,
となる.
- 途中で誤りが全く生じないので,受信者が'0'および'1'を受け取る確率はそれぞれ
0.5である.すなわち,
となる.
- 従って,
,
となる.
この場合,明らかに
は成立しない.この関係式が成り立つの
は,入出力がお互いに全く無関係の場合のみである.このような通信路は全く役に立たな
い!! 2元対称通信路の場合,誤りの確率が
のときである.
図:
通信路の途中で誤りが発生しない2元対称通信路の確率.この場合,明らかに
である.
|
|
元に戻って,今後のために一般的な2次元対通信路の確立の関係を示しておく.全て,直
感的に理解できる式である.
これらの式は,式(2)や式(3)に対応したものである.
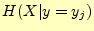
神様になった気持ちでシステム全体を見渡して,エントロピー(平均情報量)を考える.こ
のシステムを観測することにより得られる情報は,送信者の文字
と受信者の文字
である.送受信が
となる確率は
なので,エントロピー
は
である.これを,結合エントロピーと呼ぶ.また,システムエントロピーと呼ばれること
もある.
これは,ある一つの通信を行ったとき,送信/受信の両方の文字を知ることにより,得
ることができる平均情報量である.あるいは,このシステムの通信前の情報の平均的な情
報の曖昧(不確かさ)の度合いを表していると言っても良い.
1回通信を行い,送信/受信の文字を知ることにより,情報が確定する;曖昧さがなくなる.
確率の低い情報ほど大きな情報を得ることができる.確率と情報量の関係は,
情報量 |
(9) |
であった.ここで,
はその情報が生じる確率である.底の2は大きな意味は無く,他で
も良いがバイナリーデータを扱うことが多いので,その方が都合が良い.これから,結合
エントロピーは,得られる情報量の期待値であることが分かる.これは,以前学習したと
おり.
次に受信者側を考える.この場合でも,受け取る文字に関するエントロピー(平均情報量
)は,
となる.受信者が文字
を受け取ると,平均的に
の情報を得る.
つぎに,文字
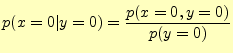
を受け取ったときに,送信者が送った文字を推定することを考える.
文字
を受け取ったときに,送信文字
に関してどれだけの情報を得ることができ
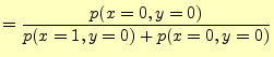
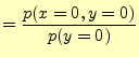
るか?--と言う問題である.
いま,受信者が文字'0'を受け取ったとする.このとき,
| 送信文字が'0'である確率 |
 |
|
| |
式(7)を使うと |
|
| |
 |
(11) |
となる.これを
 |
(12) |
と表し,条件付き確率と呼ぶ.文字'0'を受け取ったとき,送信文字が'0'である確率であ
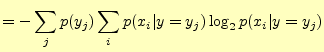
る.同様に,文字'0'を受け取ったときに,送信文字が'1'である確率は,
となる.したがって,文字'0'を受け取った場合,入力
文字のあいまいさ(エントロピーあるいは平均情報量)は
 |
(13) |
となる.
は受け取った文字が'0'のとき,送信した文字が
である確率で
ある.
以上のことより,受け取った文字が
の場合の,送信文字に関するエントロピー
は
 |
 |
(14) |
となる.
は受け取る文字が
となる確率である.
はそのときの
エントロピーである.したがって,
は文字
を受け取った後の送信文字に関
する平均的なあいまいさ(条件付きエントロピー)となっている.
この式をもう少し変形すると,次のようになる.
 |
 |
|
| |
 |
|
| |
 |
|
| |
となるので |
|
| |
 |
|
| |
 |
|
| |
右辺第一項は,式(8)より |
|
| |
![$\displaystyle =H(X,\,Y) +\sum_j\left[\sum_i p(x_i,y_j)\right]\log_2 p(y_j)$](img137.png) |
|
| |
右辺第二項は,式(3)より |
|
| |
 |
|
| |
右辺第二項は,式(10)より |
|
| |
 |
(15) |
これは,出力文字を知った後での,入力文字のあいまいさを表している.
これと全く同じ議論が,逆の場合でも成り立つ4.文字
を送ったとき,受
信者が受け取る文字
に関するあいまいさでる.式で表すと
となる.ここで,
は文字を送信した後に受信者が受け取る文字のあいまいさ(条
件付きエントロピー)である.
は元々の送信する側の文字のあいまいさである.
の
と
が入れ替わらない理由? これはシステムのエントロピーであり,送
信者側や受信者側とは関係ない,全体に関することである.神様が見ているようなもので,
逆の議論でも関係ない.
文字
受け取ったとき,送信文字
について分かったことを考える.文字を受け取る前の受信者が送信文字
に関して持っているあいまいさ(エントロピー)は,
であった.ここで
受け取る(観測)とあいまいさは,
となった.文字
を
受け取ることにより,あいまいさが
と変化した.この変化した量が受け
取った情報量
である.したがって,
 |
(17) |
である.この
を相互情報量と呼ぶ.式(16)と式
(15)から,
 |
(18) |
と書き直すことができる.この式の言っていることは少し不思議な感じがする.つぎの2
つが全く同一となる.
は,文字
を送った後,受信者が受け取るであろう文字
のあい
まいさの減少を表す.
は,文字
を受け取ると,送信者が送ったであろう文字
のあい
まいさの減少を表す.
それでは,具体的に
と
をプロットしてみよう.もっ
とも単純な2次元対称線路を考える.図5に示すように,送
信者が'0'を送る確率
とし,誤りの確率を
とする.
図 5:
一般的な2元対称通信路.送信者が'0'を送る確率を
,通信路の途中
で誤りが生じる確率を
としている.
|
|
式(15)を使うと,
が得られる.さらに,式(10)を使うと
が得られる.以上より,
と
の計算でき,図6
のグラフ(教科書 [1]のp.68の図3.23と同じ)が得られる.
図 6:
2元
対称線路の
と
のグラフ.上向きの凸が
で,凹が
であ
る.横軸は通信路のエラーの確率
である.
の場合である.
|
|
図6のグラフから,次のことが分かる.
- 条件付きエントロピー
は,文字
を受け取ったときに送信文字
のあいまいさを表している.受信者が送信文字を何かの方法で知ったとき;送信文
字が確定したときに得られる平均情報量(エントロピー)と言ってもよい.グラフ
より以下のことが分かる.
- 通信路でのエラーの確率
が0または1の時は,条件付きエントロピーは
ゼロである.この場合,即座に送信文字は確定できる.したがって,あいまい
さは全くない.
- 通信路でのエラーの確率
が0.5のとき,条件付きエントロピーは最大に
なる.この場合,文字を受け取っても,全く送信文字の推定ができないか
らである.
- 相互情報量
は,文字
を受け取ったときに,送信文字
に関して
得る情報量である.グラフより以下のことが分かる.
- 通信路でのエラーの確率
が0または1の時は,相互情報量エントは
最大になる.この場合,即座に送信文字は確定できる.したがって,送信
文字に関して多くの情報を得たことになる.
- 通信路でのエラーの確率
が0.5のとき,相互情報量はゼロに
なる.この場合,文字を受け取っても,全く送信文字に関する情報を得る
ことができないからである.
ホームページ: Yamamoto's laboratory
著者: 山本昌志
Yamamoto Masashi
平成19年12月7日