4 CR発振回路
この回路は,3年生の実験実習の「発振回路
」で,実際に実験を行った回路である.ここでは,実験ではなく,計算機シミュレーショ
ンで発振する事を確かめる.
3年生の実験実習の「発振回路
」では,図3の回路の実験を行った.
図 3:
CR発振回路.バイアスやトランジスタ駆動用の電源は省いている.
|
|
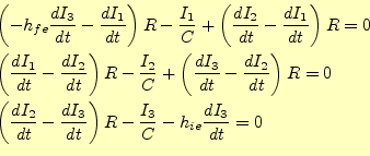
この回路のままだと,計算が大変なので,トランジスターをhパラメーターを用いて表現
する.それは,図4のようになる.これを,1周にわたって閉回路の電
位差を足しあわせるとゼロになるというキルヒホッフの第2法則を表現しやすいように表
したものが図5である.それぞれの図の回路は全く同じであることに注
意せよ.
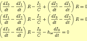
図5にしたがい回路に流れる電流が満たす微分方程式を求める.まず,
キルヒホッフの法則から,
が成り立つことがわかる.言うまでもないが,回路の電流
が時間の
関数である.このままでは,ルンゲ・クッタ法で計算するのは困難なので,これらの式を
時間で微分する.すると
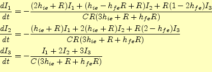
となる.このままだと,式が3個で未知数が4個なので,解くことができない.ここで,ト
ランジスターのhパラメーターを導入する.トランジスターの特性より
 |
(12) |
となる.すると,解くべき式は,
である.これが,回路の電流を表す微分方程式である.
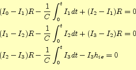
これらの連立の微分方程式を4次のルンゲクッタ法で計算すれば良いのであるが,もう少
し変形する必要がある.
のような,形にする.これは,連立方程式な
ので,変形は面倒であるが可能である.計算し易いように変形3すると
となる.
常微分方程式を以下の条件で計算せよ.トランジスターの特性については,私は素人で全
く知らないので,適当に仮定している.それでも,発振の基本的なメカニズムは分かるで
あろう.
これを計算する場合のヒントを与えておく.発振の成長は,種信号の増幅の繰り返しであ
る.実際の発振器の種信号は,熱雑音であったり,スイッチのON/OFFのノイズであったり
する.計算機でシミュレーションする場合,それは,
または
,
のいずれかの一つに非常に小さい値を与えれば良い.そして,残りの2つは,ゼロとして
おく.
CR発振回路の詳細については,私のホームページの講義ノート(2003年度の実験)を見よ.
CR発振回路の発振周波数は
 |
(17) |
である.また,発振条件は,トランジスターの入力インピーダンスを
とした場
合,
 |
(18) |
である.
ホームページ: Yamamoto's laboratory
著者: 山本昌志
Yamamoto Masashi
平成19年10月18日