3 コンデンサーの静電容量の計算

反復法を用いて,連立方程式の解を数値計算する練習問題である.ここでは,コンデンサー の静電容量を求める.諸君は電気工学科の学生なので,ちょうど良い練習問題と考えてい る.ここでの計算アルゴリズムは,有限要素法と呼ばれる方法で,連立方程式の計算 が必要になる.後の授業では差分法を学習し,そこでも連立方程式が重要な役割を果たす.

3.1 コンデンサーの性質

コンデンサーの特徴を表すパラメーターにキャパシタンス(静電容量)があることは,十分 承知していると思う.これは,いろいろな方法で計算することができる.その中で,私が 好んで使う方法は,エネルギーから計算する方法である.これは,電場の状態がキャパシ タンスを決める--と言っており物理的意味が分かりやすい.空間に電場2 $ \boldsymbol{E}$が分布している場合,そのエネルギー $ \boldsymbol{U}$

$\displaystyle U_s$ $\displaystyle =\frac{1}{2}\int\varepsilon \boldsymbol{E}\cdot\boldsymbol{E}dV$    
  $\displaystyle =\frac{1}{2}\int\varepsilon \boldsymbol{E}^2dV$ (13)

となる. $ \frac{1}{2}\varepsilon\boldsymbol{E}^2$が静電場のエネルギー密度になっている.信 じられない!!,それならば次元解析をしてみよ.また,よく知られているように,コンデ ンサーの電圧$ V$とキャパシタンス$ C$,そこにたまっているエネルギーには,

$\displaystyle U_c=\frac{1}{2}CV^2$ (14)

の関係がある.コンデンサー内部では,それらは図1のような関係 になっている.これからも分かるように,コンデンサーの内部には式 (13)が示す静電場のエネルギーが蓄えられている.一方, 電気的には,式(14)が示すエネルギーが蓄えられてい る.これらのエネルギーは等しいので,

$\displaystyle \frac{1}{2}\int\varepsilon \boldsymbol{E}^2dV=\frac{1}{2}CV^2$ (15)

となる.この式の左辺の電場はいろいろな方法で計算でき,静電場のエネルギーを求める ことができる.一方,電圧$ V$は予め与えられているので,左辺の値を使えば,静電容量 が計算できる.要するに,静電場$ E$を求めることができれば,静電容量$ C$が計算できる のである.

いままで,よく分からなかった静電容量というものは,コンデンサーに蓄えられるエネルギーを示す 指標と考えて良い.私は,この考え方が好きである.なにしろ,分かりやすい.

図 1: コンデンサーの様子
\includegraphics[keepaspectratio, scale=0.8]{figure/capcitance.eps}

3.2 有限要素法

先に示したとおり,コンデンサー内部の電場が分かれば,そのキャパシタンスを求めるこ とができる.それは簡単だ!!;電圧$ V$を電極間距離$ L$で割れば,電場は$ E=V/L$と求め られる--と言う人がいる.これは,コンデンサー内部で誘電率が一様な場合は正しい.そん な単純な問題は,いままでさんざん学習してきた.ここでは,もう少し難 しい,誘電率が変化する問題を解くことにする.

誘電率が,3次元($ x,y,z$の関数)で変化すると計算が大変なので,1次元問題に限ること にする.2次元や3次元も考え方は同じであるが,計算は大変である.ここで,計算するコ ンデンサー内部は,図2のとおりとする.誘電率は,座標$ x$の関数で, 変化するものとする.

図 2: コンデンサー内部
\includegraphics[keepaspectratio, scale=0.8]{figure/in_capa.eps}

このような場合の電場はどうなるのであろうか?.一つの方法は,ポアッソン方程式 3

$\displaystyle \nabla^2(\varepsilon\phi)=0$ (16)

を解くことにより求めることができる.ここで,$ \phi$はポテンシャルで,電圧のことで ある.少し気取って書いているのである.この微分方程式を $ \phi(0)=V_0$ $ \phi(L)=V_1$の境界条件で解くことになる.そうすると必要なものが全て計算できるの で,静電容量を計算できる.しかし,今回は,別な方法で計算する.

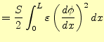
ポアッソン方程式の代わりに,コンデンサー内部の電場は,そのエネルギーが最小になる ように分布するという原理を使う.当然,この場合でも,境界条件 $ \phi(0)=V_0,\phi(L)=V_1$は課せられている.コンデンサーの内部のエネルギーは,1次元 なので,

$\displaystyle U_s$ $\displaystyle =\frac{1}{2}\int\varepsilon \boldsymbol{E_x}^2dV$    
  $\displaystyle =\frac{S}{2}\int_0^L\varepsilon \boldsymbol{E_x}^2dx$ (17)

と書ける.ここで,$ S$はコンデンサーの電極の面積である.

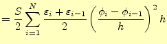
このポテンシャル分布をコンピューターに計算させるために,コンデンサーの内部を細か く$ N$等分に区切る.この様子を図3に示す.すると,エネルギーは

$\displaystyle U_s$ $\displaystyle =\frac{S}{2}\int_0^L\varepsilon \boldsymbol{E_x}^2dx$    
  $\displaystyle =\frac{S}{2}\int_0^L\varepsilon \left(\frac{d\phi}{dx}\right)^2dx$    
  $\displaystyle =\frac{S}{2}\sum_{i=1}^{N}\frac{\varepsilon_i+\varepsilon_{i-1}}{2} \left(\frac{\phi_i-\phi_{i-1}}{h}\right)^2h$    
  $\displaystyle =\frac{Sh}{2}\left[ \cdots+ \frac{\varepsilon_i+\varepsilon_{i-1}...
...varepsilon_{i}}{2} \left(\frac{\phi_{i+1}-\phi_{i}}{h}\right)^2 +\cdots \right]$ (18)

となる.ここで,$ h$は,$ N$当分に区切ったひとつの間隔である.
図 3: 分割の様子
\includegraphics[keepaspectratio, scale=0.8]{figure/finite.eps}

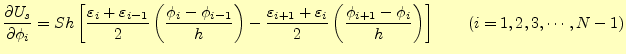
静電場のエネルギーが最小になるためには,微分がゼロになる必要がある.このエネルギー をポテンシャル$ \phi_i$で微分すると

$\displaystyle \if 11 \frac{\partial U_s}{\partial \phi_i} \else \frac{\partial^...
...2} \left(\frac{\phi_{i+1}-\phi_{i}}{h}\right) \right]\qquad(i=1,2,3,\cdots,N-1)$ (19)

となる.$ U_s$が最小値になるためには, $ \if 11 \frac{\partial U_s}{\partial \phi_i}
\else
\frac{\partial^{1} U_s}{\partial \phi_i^{1}}
\fi
=0$となる必要がある. また,コンデンサーの両端の電圧は固定されているので, $ \phi_0=V_0$ $ \phi_N=V_1$である. 従って,これらをまとめると

\begin{equation*}\left\{ \begin{aligned}&\phi_0=V_0\\ &-\left(\varepsilon_{i-1}+...
...ilon_{i+1}\right)\phi_{i+1}=0\\ &\phi_N=V_1 \end{aligned} \right.\end{equation*}

となる.要するに,この連立1次方程式を計算すれば,任意の誘電率の場合のコンデンサー内部のポテ ンシャル(電圧)が得られる.ポテンシャルが分かれば,電場が分かり,そうすると内部の エネルギーが計算できる.従って,静電容量が求められるわけである.

ここで示した計算方法は有限要素法と呼ばれている.これは,式(16) のポアソン方程式4と呼ばれる微分方 程式の代わりに,式(13)の極値となる関数--ここではポテン シャル--を計算するものである5

3.3 計算方法についてコメント

先に示したように,コンデンサー静電容量を求める本質的な計算はポテンシャル$ \phi_i$(電圧)の 分布を求めることにある.それは連立方程式

\begin{equation*}\left\{ \begin{aligned}&\phi_0=V_0\\ &-\left(\varepsilon_{i-1}+...
...ilon_{i+1}\right)\phi_{i+1}=0\\ &\phi_N=V_1 \end{aligned} \right.\end{equation*}

から求められる.$ \phi_0$$ \phi_N$は境界条件なので,これは決まった値で計算する必 要はない.真ん中の式を,ガウス・ザイデル法の反復を計算するために

$\displaystyle \phi_i=\frac{1}{\varepsilon_{i-1}+2\varepsilon_{i}+\varepsilon_{i...
...ht)\phi_{i-1}+ \left(\varepsilon_{i}+\varepsilon_{i+1}\right)\phi_{i+1} \right]$ (22)

と変形を行う.あとは単純,これを反復計算すれば近似解が求められる.
ホームページ: Yamamoto's laboratory
著者: 山本昌志
Yamamoto Masashi
平成19年11月8日


no counter