6 練習問題

6.1 ガウス・ジョルダン法

[練習1]
次の連立方程式をピボット選択無しのガウス・ジョルダン法で計算 するプログラムを作成しなさい.プログラムは,$ N=3$のみならず, $ N=100$程度まで容易に計算できるように汎用的にすること.

$\displaystyle \left\{ \begin{aligned}2x-4y+6z&=5\\ -x+7y-8z&=-3\\ x+y-2z&=2 \end{aligned} \right.$

[練習2]
プログラムが完成したら,逆行列を計算するルーチンも追加しなさい.そして, 逆行列と元の行列をかけ合わせたら単位行列になることを確認しなさい.
[練習3]
逆行列が完成したら,ピボット選択のルーチンを追加しなさい.
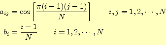
[練習4]
ピボット選択のルーチンが完成したならば,次の連立方程式を計算 しなさい.

\begin{equation*}\begin{aligned}a_{ij}&=\cos\left[\frac{\pi (i-1)(j-1)}{N}\right...
...\cdots,N\\ b_i&=\frac{i-1}{N} \qquad i=1,2,\cdots,N \end{aligned}\end{equation*}

これは,三角波のフーリエ変換(離散フーリ エ変換) になっている.とりあえず,N=100程度で計算してみて,最後に

\begin{equation*}\begin{aligned}f(x)=\sum_{j=1}^{N}x_i\cos\left[(j-1)x\right] \end{aligned}\end{equation*}

がプロットして三角波になっていうることを確認せよ.

6.2 その他

[練習1]
ガウス・ジョルダン法,同様にガウス消去法と後退代入で連立方程式を計算せよ.
[練習2]
ガウス・ジョルダン法,同様にLU分解で連立方程式を計算せよ.



ホームページ: Yamamoto's laboratory
著者: 山本昌志
Yamamoto Masashi
平成19年10月25日


no counter