4 シェルソート

4.1 アルゴリズム

シェルソートは,は1959年にD.L.Shellが考案した方法で,単純挿入ソートを改良したもの となっている2.単純挿入ソートは,小さな値が右の方にあると,かなりの計算 量を要して,左に移動する.隣同士ひとつずつ比較を行うので,多くの計算が必要となる. 最初は大きな歩幅で,そしてだんだん歩幅を小さくしていけば,遠く離れても早く移動で きるだろう.このような方法がシェルソートである.

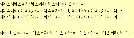
単純挿入ソートは隣同士を比較したが,Shellソートでは,大きな歩幅$ h$ で比較する.ソートに時間のかかる大ききな数や小さな数は,一気に右や左に移動 することができる.$ h$飛ばしで比較すると,

\begin{equation*}\begin{aligned}&a[0] \leqq a[h] \leqq a[2*h] \leqq a[3*h] \leqq...
... a[4*h-1] \leqq a[5*h-1] \leqq a[6*h-1]\cdots \\ %
\end{aligned}\end{equation*}

と並び替える.この並び替えには単純挿入法をつかう.

そうして,歩幅$ h$をどんどん小さく,最後は$ h=1$にすると並び替えは完了となる.この $ h$の選び方にこつがあって, $ \cdots, 121, 40, 13, 4, 1$とする.式で表すと,

$\displaystyle h_{k}=3h_{k+1}+1$ (2)

である.これは,互いに素に近い数列である.このようにすると効率が良い.最初に実行 する一番大きな$ h$は,データの個数$ N$以下にしなくてはならない.教科書では$ N/3$以 下にしている.他の文献 [1] [3]では,$ N$ 以下にしている.私だと$ N/2$以下にするだろう.$ N/2$以下にすると,必ずすべてのデー タが一度はソートされることになる.いずれにしても,計算量にあまり大差はないであろう.

まとめると,シェルソートの手順は,次の通りである.

[ステップ1]    最初の歩幅$ h$を決める.データの個数の半分以下で最大の $ h_i$を最初の歩幅とする.
[ステップ2]     $ i=0,1,2,\cdots,h-1$に対して, a[i],a[h+i],a[2*h+i],a[3*h+i],$ \cdots$を並び替える.これには単純挿入 ソートを使う.
[ステップ2]    次のh=(h-1)/3にして,再度[ステップ2]の並び替えを実 行する.実際には,h=h/3で良い.

4.2 プログラム

単純挿入ソートの実際のプログラム(関数)は,教科書 [2]p.223のリスト 6.21のように書く.整列させる整数のデータは,配列はarray[]に格納されている. データの個数はnumに格納されている.したがって,整列すべき整数のデータは,配 列のarray[0]array[num-1]に格納されている.

この関数がソートする様子を図4に示す.先に示したアルゴリズ ムの通りであることが分かるだろう.

図 4: シェルソートを使った整数の整列.リストのプログラムのソート方 法.
\includegraphics[keepaspectratio,scale=0.8]{figure/shell_sort.eps}

4.3 計算量

シェルソートの計算量を見積もるのは,非常に難しい.移動の歩幅hに大きく依存す るからである.式(2)のように$ h$を選べば,平均して $ O(N^{1.25})$とな ることが実験的に知られている [3].

これは,かなり良いアルゴリズムである.後で述べるクイックソートと比較してもそんな に悪くはない.



ホームページ: Yamamoto's laboratory
著者: 山本昌志
Yamamoto Masashi
平成19年7月26日


no counter