2 ツリーの概要

2.1 ツリーの例

ツリー(three:木)と呼ばれるデータ構造は,階層構造を持ったデータの集まりを表すのに 都合が良い.たとえば,組織図(図3),コンピューターのファイルシステムなどである.情報科 学では,データベースの中のデータの表現やコンパイラーでの原始プログラムの文法構造 などでも使われる.
図 3: 秋田高専の組織図
\includegraphics[keepaspectratio,scale=1.0]{figure/ANCT_organization.eps}

このように階層構造をもつデータの集まりは,これまで学習してきたデータ構造--配列 やリスト,スタック,キュー--で表すことは困難である.できないことはないが,プロ グラムが非常にわかりにくくなる.今後,諸君は階層構造を持つデータを取り扱う場合に は,ツリーを用いよ! プログラムの内容が非常に分かりやすくなる.

2.2 ツリーの基本

2.2.1 基本用語

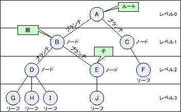
ツリー構造にはいろいろ名称があり,それを表1と図 4に示す.なぜ,図1のようなデータ構造をツリー 構造と呼ぶか?.それは,この図を反対にしてみるのである.すると,根が一番下にきて, 枝や葉が上にあることが分かるであろう.まさに,木である.

図 4: ツリー構造と名称.BとEは親子関係のの例である.


\includegraphics[keepaspectratio,scale=0.8]{figure/tree_peace_name.eps}
図: ツリー構造の名称

構成要素 内容
ルート(root:根) 最上位のノード
ノード(node:節) 枝が分かれるところ
リーフ(leaf:葉) 子がないノード
ブランチ(branch:枝) 親と子を結ぶ線
親(parent) 上のノード
子(child) 下のノード
兄弟(brother) 同じ親を持つノード

2.2.2 特徴

子は一つの親を持つことがツリーの特徴である.二つの親を持ってはならないのである. そのため,任意の二つのノードあるいはリーフのつながりを表すパスは,一意に決まる.

2.2.3 データの順序

リーフあるいはノードにはデータが格納され,それらを順序づけることができる.順序づ けの方法はいろいろあるが,次の3通りが重要である.
先行順(preorder)
親のノード $ \rightarrow$子の順に並べる.図 5のようなツリー構造では次のような並びになる.

$\displaystyle a\rightarrow b\rightarrow d\rightarrow g\rightarrow e\rightarrow h\rightarrow i\rightarrow c\rightarrow f\rightarrow j$    

となる.
中央順(postorder)
$ \rightarrow$親のノード $ \rightarrow$子の順に並べる. これは,後で述べる2分木の他ではあまり使われない.2分木の場合,左の子 $ \rightarrow$親のノード $ \rightarrow$右の子のように順序づけることがで きる.図5のようなツリー構造では次のような並びになる.

$\displaystyle g\rightarrow d\rightarrow b\rightarrow h\rightarrow e\rightarrow i\rightarrow a\rightarrow c\rightarrow f\rightarrow j$    

後行順(inorder)
親のノード $ \rightarrow$子の順に並べる.図 5のようなツリー構造では次のような並びになる.

$\displaystyle g\rightarrow d\rightarrow h\rightarrow i\rightarrow e\rightarrow b\rightarrow j\rightarrow f\rightarrow c\rightarrow a$    

このなかで,2分木に使われることの多い中央順がもっとも重要である.

図 5: ツリー
\includegraphics[keepaspectratio,scale=1.0]{figure/tree_traversal.eps}

ホームページ: Yamamoto's laboratory
著者: 山本昌志
Yamamoto Masashi
平成19年7月26日


no counter