電場を導入することにより近接作用の考えを導入したつもりでいた.しかし,式
(
5)や(
7),(
8)は,まだ
満足できない.遠隔地にある電荷が電場を作っている式になっている.近接作用を考える
と,その場所の電場はその周りからのみ作用を受けるべきである.そのためには,式を微
分形に直すのが良いだろう.それぞれの式は正しいので,それを上手に使い微分形の式を
導く.
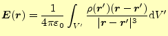
クーロンの法則から,静電場

が満たす微分方程式を探す.静電場の問題は,クー
ロンの法則である式(
5),あるいはそれを一般化したクーロンの
法則である式(
8)が全てを語っている.この一般化されたクーロン
の法則から,静電場に関わる式の全てを導くことができる.そこで,これを使って,静電
場を表す微分方程式を導く.式(
8)は長いので,
 |
(9) |
と書き直す.体積積分を行う領域

は考慮している空間,全てにわたっている.
これを出発点としても良いが,もう少し変形しておく方が,後々,都合が良い.一般化さ
れた,ベクトル解析の知識を少し使うと,クーロンの法則は,
と書ける.この式を出発点としよう.ここで,積分は

を変数とするが,
勾配

は

を変数とする.この変数の違いに注意せよ.
静電場
を表す微分方程式は,発散と回転により決めることができる.以前のベク
トル解析で述べたように,任意のベクトル場は発散と回転から決めるとができる.一方,静電場
は,式(10)を用いて,過不足なく表すことができる.したがっ
て,一般化されたクーロンの法則の式(10)の発散と回転を計算
すれば,静電場を表す微分方程式を求めることができる.
それでは,式(10)の両辺の発散を計算する.
これで,電場の発散が計算できた.当然,この式の座標変数は

のみなので,
と書いてもよい.

がないので,間違えることはない.この式を微分形の
ガウスの法則と言う.

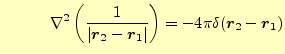
関数を導入すると,こんなに簡単に美しくガウスの法則を
導くことができる.

関数を使わないと,教科書に示しているように,いろいろな絵
を用意しないと,この法則を示すことができない.

関数の威力が分かるだろう.

関数の説明では,同じ絵を用いているので,本質的には何も変わっていないこと
は,理解しておく必要がある.
ベクトル場の微分方程式の片割れが分かった.残りは,回転である.先ほど,同様に一般
化されたクーロンの法則の式(10)の両辺の回転を計算する.
式(10)の両辺の発散を計算すると次のようになる.
これで,電場の回転が求まった.電場の回転はゼロである.
以上をまとめると,電場を表す微分方程式は,
と書ける.
先に求めた回転と発散は,ガウスの定理とストークスの定理を用いて,容易に積分形に直
すことができる.発散の式の両辺を体積積分を行い,ガウスの定理を用いる.
| 式(14)の発散の左辺 |
 |
|
| |
 |
(15) |
となる.発散の右辺の方は取り立てて述べることはない.従って,発散の式を積分形に直
すと
 |
(16) |
となる.これが,積分形のガウスの法則である.この体積積分を含む等式は,任意の領域
で成り立つ.一般化されたクーロンの法則の式(
10)の場合,全
ての領域(全宇宙)にわたって積分を行う必要がある--のと大きく異なっている.
この積分形のガウスの法則が言っていることは,
- ある任意の閉じた空間の内部の電荷の総量を誘電率で割った値は,その空間の表
面にわたっての電場の積分に等しい.
である.これは,便利な式で,実際の電場を計算する場合,使うことが多い.
次は,回転に関する積分形の式を求める.回転の式の両辺を面積積分を行い,ストークス
の定理を用いる.
| 式(14)の回転の左辺 |
 |
|
| |
 |
(17) |
回転をあらわす右辺はゼロなので,積分を行ってもゼロである.従って,積分形は
となる.この式は,任意の閉じた領域で正電場を積分するとゼロ
になる--と言っている.もし,これが成立しないと,永久機関ができる.棒の片方の端
に正の電荷,もう一方の端に発電機を接続する.これを静電場の中に入れる.もし,式
(
18)がゼロでないとすると,この棒は永久に回転し続ける.エネルギー保
存則に反する結果となり,常識的に考えておかしい.
ホームページ:
Yamamoto's laboratory著者:
山本昌志
Yamamoto Masashi
平成18年6月1日