この場合は,2次元で考えるのはやっかいなので3次元で考えることにする.3次元の閉じ
た空間内での熱の流れを考える.単位面積,単位時間あたりの熱の流れ
[
]はベクトル場である.これを
で表すことにする.ここ
では,この空間から出入りする熱量の総和を考える.この閉じた空間の表面の微少面積
から出ていく熱量
は,
 |
(15) |
である.ここで,
は図5この微少面積の法線方向の単位ベクト
ルである.この熱の流れのベクトルと面積の内積を熱流束(一般にはフラックス)と言う.
この式から,空間から出入りするトータルの熱量は,
となる.
次に,先ほどの空間を図6のように
と
の2つの部分に分割した
場合を考える.この場合,閉じた空間からの熱量の出入りの総和は,それぞれの部分の熱
流速を足しあわせれば良い.すなわち
である.先ほどの式(16)と同じになる理由は,以下のことから分かる.
と,
あるいは
の共通の表面の部分は変わらない.
と積分が異なるのは,図6の
の部分である.この
部分では,
と
での熱の流れのベクトルは同一である.しかし,積分を
する場合の法線の方向が反対で,
の関係がある.すると,
この部分での積分は,
と
を足しあわせるとキャンセルされる.
先ほどは2つに分割したが,この分割方法は任意で2つ以上に分割しても良いことは明らか
である.図7のようにに
個に分割した場合は,
 |
(18) |
である.これを非常に大きな数で分割して,
の極限を考える.すると,
である.ここで,
とする.先週示した
という微分がいきなり現れているが,この右辺と等し
いことは後で示す.式(20)の右辺が発散と呼ばれるスカラー量で,ベクトル場の
微分を表す.これが微分になっていることの感触は,式(1)から汲み取ってほしい.
この発散を用いると,トータルの熱量は,
 |
(21) |
となる.式(16)と比べると,
である.これをガウスの発散定理といい,熱にこだわらずどんなベクトル場についても成
り立つ.この定理は,「微分の体積積分は表面での面積分に置き換えることができる」と
言っている.式(2)のように,微分したものの積分の値は端--ここで
は表面--で決まるのである.
ここで考えた熱流速の場合,発散
は単位体積あたりの熱の出入りを表している.
これは,その微少体積で熱が発生量を表している.そのため,発散とは言わずにこの微分
を「湧き出し」と呼ぶ人もいる.
発散は式(20)で定義されるベクトル場の微分である.実際の微分につい
て,カーテシアン座標系で考える.ベクトル場
があったとする.それは座標の関
数で,
と書けるであろう.図8に示したような微
少な空間でのそのフラックス
を考える.まずは,
平面である.これは,
と
の面のフラックスを足しあわせれば良い.
 |
 |
|
| |
 |
|
| |
,
なので |
|
| |
 |
|
| |
![$\displaystyle =\left[ A_z\left(x+\frac{\Delta x}{2},\,y+\frac{\Delta y}{2},\,z+...
...x+\frac{\Delta x}{2},\,y+\frac{\Delta y}{2},\,z\right) \right]\Delta x \Delta y$](img117.png) |
|
| |
の周りで,テイラー展開すると |
|
| |
![$\displaystyle =\left[\left( A_z+ \if 11 \frac{\partial A_z}{\partial x} \else \...
...{1} A_z}{\partial y^{1}}\fi \frac{\Delta y}{2} \right) \right]\Delta x \Delta y$](img119.png) |
|
| |
 |
(23) |
,
平面も同様にして,
| |
 |
|
 |
|
(24) |
となる.
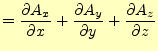
これから発散は,
となる.
これは,先週示した式と同じである.また,円柱座標系や極座標系については,
私のweb ページ
ページを見よ.
数式がごちゃごちゃ並んだので,発散の意味がぼやけてきたと思う.熱の流れがある場で,
その発散を計る機械を考えよう.図9のような機械で発散が計れる.
正方形の熱の流れを測定するセンサーを6つ組み合わせて,立方体内部でのねつの収支を
計る.熱の収支の合計を立方体の体積で割ることにより,立方体内部での平均の発散が分
かる.
図 9:
熱の発散を計る機械.熱流系で構成する立方体の実際のサイズは,小さいと
する.
|
|
ホームページ: Yamamoto's laboratory
著者: 山本昌志
Yamamoto Masashi
平成19年10月10日