6 ベクトル場の回転

次にベクトル演算子 $ \nabla $ とベクトル場 $ \boldsymbol{A}$とのベクトル積を考える.これは,

$\displaystyle \nabla\times\boldsymbol{A}$ $\displaystyle =\left( \if 11 \frac{\partial }{\partial x} \else \frac{\partial^...
...l z} \else \frac{\partial^{1} }{\partial z^{1}}\fi \right) \times\boldsymbol{A}$    
  $\displaystyle = \begin{vmatrix}\boldsymbol{i} & \boldsymbol{j} & \boldsymbol{k}...
... \else \frac{\partial^{1} }{\partial z^{1}}\fi \\ A_x & A_y & A_z \end{vmatrix}$    
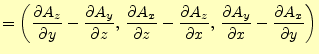
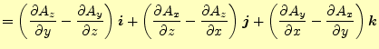
  $\displaystyle = \left( \if 11 \frac{\partial A_z}{\partial y} \else \frac{\part...
...rtial y} \else \frac{\partial^{1} A_x}{\partial y^{1}}\fi \right)\boldsymbol{k}$    
  $\displaystyle =\left( \if 11 \frac{\partial A_z}{\partial y} \else \frac{\parti...
...rtial A_x}{\partial y} \else \frac{\partial^{1} A_x}{\partial y^{1}}\fi \right)$ (18)

となる.これは,回転と呼ばれるスカラー場である.ベクトル演算子とベクトル場のベク トル積なので,ベクトル量になると覚える.これが,実際にベクトル量になることの証明 は,諸君に任せる.

この量の物理的意味は,来週の積分の演算を通して示す.



ホームページ: Yamamoto's laboratory
著者: 山本昌志
Yamamoto Masashi
平成18年5月26日


no counter