5 ベクトル場の発散

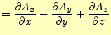
ベクトル演算子 $ \nabla $ とベクトル場 $ \boldsymbol{A}$とのスカラー積を考えることがで きるだろう.これは,

$\displaystyle \nabla\cdot\boldsymbol{A}$ $\displaystyle =\left( \if 11 \frac{\partial }{\partial x} \else \frac{\partial^...
...al z} \else \frac{\partial^{1} }{\partial z^{1}}\fi \right) \cdot\boldsymbol{A}$    
  $\displaystyle = \if 11 \frac{\partial A_x}{\partial x} \else \frac{\partial^{1}...
...frac{\partial A_z}{\partial z} \else \frac{\partial^{1} A_z}{\partial z^{1}}\fi$ (17)

となる.これは,発散と呼ばれるスカラー場である.ベクトル演算子とベクトル場のスカ ラー積なので,スカラー量になると覚える.実際に,スカラー量になることの証明は,諸 君に任せる.

この量の物理的意味は,来週の積分の演算を通して示す.



ホームページ: Yamamoto's laboratory
著者: 山本昌志
Yamamoto Masashi
平成18年5月26日


no counter