先週の講義では,2次元を用いて座標変換の具体的な行列を示した.ここでは,より一般
的な3次元の座標変換の行列の性質を示す.ここでは,3次元で議論を進めるが,さらに高
次元でも成り立つ.このあたりの話は,文献 [
1]を参考にした.
図7のように3次元座標の原点を固定して,それを回転させたとする.
ここで,それぞれの軸には単位ベクトルの関係を考える.それぞれ
の軸の単位ベクトルの大きさは1で,直交している.従って,元の座標系では,
となる.最初の3つの式が,ベクトルの大きさが1であること示している.次の3つの式が直行関係を表している.同じように回転した座標系でも
である.それらは基底ベクトルにとることができるので,任意のベクトルを線形和
で表現できる.回転した軸の単位ベクトル

も,元の座標の単位ベクトルの線形和で表すことができる.すなわち,
である.
これら,単位行列を表す係数
の性質を調べる.そこで,回転した座標の単位行列の内積を計算する.先ほどの直交関係を利用すると,
となる.ベクトル

の大きさは1なので,
 |
(35) |
を導くことができる.ほかの軸でも同様な操作を行うと,
| |
 |
|
 |
|
(36) |
が得られる.次に,他の軸との内積を計算する.それは,
となる.ベクトル

と

は直交しているので,
 |
(38) |
である.同様に,
| |
 |
|
 |
|
(39) |
が得られる.ここで,得られた結果をまとめると,
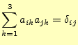
となる.ここで,

はクロネッカーの記号と呼ばれ,
 |
(41) |
と言う意味がある.
ここで,行列
として
 |
(42) |
を導入する.転置行列は,
 |
(43) |
となる.すると,式(
40)は
 |
(44) |
と書き直すことができる.ここで,

は単位行列である.この式から,行列

は直交行列となっていることが分かる.この式から,転置行列が

の逆行列になっていることがわかる.すなわち,
 |
(45) |
である.
この行列
をつかうと,回転した座標系の単位ベクトルを表す式(33)は,
 |
(46) |

なので,
となる.
この行列
は座標軸を回転させたとき,座標の成分の変換を表すことを示す.いま,任意の位置ベクトル
を2つの座標系で考える.これは,どちらの座標系から見ても同じベクトルなので,
と書くことができる.したがって,
となる.これらが等しくなるためには,左右のベクトルの係数が等しくなる必要がある.したがって,
である.これを,行列を使った表現にすると,
 |
(51) |
となる.すなわち,単位ベクトルの変換を表す行列は,座標変換を表す行列と同じである.
ホームページ:
Yamamoto's laboratory著者:
山本昌志
Yamamoto Masashi
平成18年5月26日