1 物理学における対称性

ここでは,物理法則を記述するときに,ベクトルを使う理由を述べる.数学と異なり,物 理学ではベクトルを使わなくてはならない特別な理由がある.それは,座標軸の平行移動 や回転に対して,物理の基本法則を示す方程式が変わらないということに関係する.電磁 気学でも,このことは成り立つが,力学でそれを示す.これから学習する電磁気学方程式 は複雑なので,最初の例としてふさわしくない.そこで,方程式がが単純な力学を使うこ とにする.

このあたりの話の種本は,「ファインマン物理学 I 力学」 []である.

1.1 対称性

力学や電磁気学,さらに他の物理学の分野の基本法則は,平行移動や回転に対して対称で ある.ここで,対称と言う意味は,ファインマンはヘルマン・ワイルの言葉を借りて
ひとつのものにある操作をしたとき,もとと同一に見えるならば,そのものは対称である という.例えば左右対称な花瓶があるとき,それを鉛直軸のまわりに180°まわすと,ま えと同じように見える.
と言っている [1].電磁気学を含んだ物理の基本法則が,平 行移動や回転に対して対称であることは,直感的に理解できる.それは,我々が住んでい る世界には座標をきめる特別な原点はないということと,座標軸を決める特別な軸がない ことからも分かる.このことを,「空間は等方である」という.本当に,そうなのか?. 特別な原点や特別な軸を示す現象を捜してみよう.見付からないはずである.

1.2 平行移動

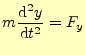
それでは平行移動に関して,物理の基本法則である力学が対称であることを示そう.ベク トルを使わない力学の方程式は

  $\displaystyle m\frac{\mathrm{d}^2 x}{\mathrm{d}t^2}=F_x$   $\displaystyle m\frac{\mathrm{d}^2 y}{\mathrm{d}t^2}=F_y$   $\displaystyle m\frac{\mathrm{d}^2 z}{\mathrm{d}t^2}=F_z$   (1)

である.問題は,この座標の原点と軸の方向である.まずは,座標の原点としてどこを選 んでも方程式が同じであることを示す.

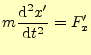
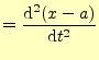
これから,原点はどこでも良いことを示そう.A君とA$ ^\prime$君がある質点の運動を異 なる原点を使って観測したとする.A君の座標を$ (x,y,z)$,A$ ^\prime$君の座標を $ (x^\prime,y^\prime,z^\prime)$とする.それぞれは,

  $\displaystyle x^\prime=x-a$   $\displaystyle y^\prime=y-b$   $\displaystyle z^\prime=z-c$   (2)

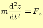
の関係がある.これは,原点は異なるが,軸の方向は一致していると言っている.A君の 座標系で,運動方程式(1)が成り立っているとする.同じよう に,A$ ^\prime$君の座標系でも運動方程式

  $\displaystyle m\frac{\mathrm{d}^2 x^\prime}{\mathrm{d}t^2}=F_x^\prime$   $\displaystyle m\frac{\mathrm{d}^2 y^\prime}{\mathrm{d}t^2}=F_y^\prime$   $\displaystyle m\frac{\mathrm{d}^2 z^\prime}{\mathrm{d}t^2}=F_z^\prime$   (3)

は成り立つのであろうか?.

質点にかかる力は,A君から見てもA$ ^\prime$君ら見ても同じである.そして,力の各方向の成分は,全ての力に力の軸と座標の軸との方向余弦( $ \cos\theta$)をかけたものである.これと両者の座標軸の方向が一致しているとことから,

  $\displaystyle F_x^\prime=F_x$   $\displaystyle F_x^\prime=F_x$   $\displaystyle F_x^\prime=F_x$   (4)

となる.両者の力の各方向の成分は同一になる.これは,直感的に当たり前である.

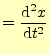
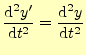
次に,式1の加速度を考える.A$ ^\prime$君の座標系での加速度は,

$\displaystyle \frac{\mathrm{d}^2 x^\prime}{\mathrm{d}t^2}$ $\displaystyle =\frac{\mathrm{d}^2 (x-a)}{\mathrm{d}t^2}$    
  $\displaystyle =\frac{\mathrm{d}^2 x}{\mathrm{d}t^2}-\frac{\mathrm{d}^2 a}{\mathrm{d}t^2}$    
     原点の距離$ a$は一定なので    
  $\displaystyle =\frac{\mathrm{d}^2 x}{\mathrm{d}t^2}$ (5)

となる.y, z方向もおなじなので,

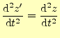
  $\displaystyle \frac{\mathrm{d}^2 x^\prime}{\mathrm{d}t^2}=\frac{\mathrm{d}^2 x}{\mathrm{d}t^2}$   $\displaystyle \frac{\mathrm{d}^2 y^\prime}{\mathrm{d}t^2}=\frac{\mathrm{d}^2 y}{\mathrm{d}t^2}$   $\displaystyle \frac{\mathrm{d}^2 z^\prime}{\mathrm{d}t^2}=\frac{\mathrm{d}^2 z}{\mathrm{d}t^2}$   (6)

となる.原点が異なっても,加速度は同一となる.

式(4)と(6)より,A君の座標で運動方程式(1)が成り立てば,A$ ^\prime$君でも同じような運動方程式(3)が成り立つ.これは,運動方程式は,座標の原点とは関係なく成り立つことを言っている.座標の原点はどこをとってもよいのである.

1.3 回転

ニュートンの運動方程式--物理の基本法則--が軸の回転に対しても対称でことを確認す る.図1のように,原点は同じで,z軸を回転軸として$ \theta$回転 させた2つの座標系での運動方程式を考える.回転する前のA君の座標系の運動方程式

  $\displaystyle m\frac{\mathrm{d}^2 x}{\mathrm{d}t^2}=F_x$   $\displaystyle m\frac{\mathrm{d}^2 y}{\mathrm{d}t^2}=F_y$   $\displaystyle m\frac{\mathrm{d}^2 z}{\mathrm{d}t^2}=F_z$   (7)

である.座標を回転させたときのA$ ^\prime$君の座標系でも同じように

  $\displaystyle m\frac{\mathrm{d}^2 x^\prime}{\mathrm{d}t^2}=F_x^\prime$   $\displaystyle m\frac{\mathrm{d}^2 y^\prime}{\mathrm{d}t^2}=F_y^\prime$   $\displaystyle m\frac{\mathrm{d}^2 z^\prime}{\mathrm{d}t^2}=F_z^\prime$   (8)

が成り立つか--調べる.もしこれが成り立てば,A君の座標系でも,A$ ^\prime$君の座標 系でも方程式の形は同一となる.すなわち,対称である.

対称性を調べるために,座標の変換と力の変換の仕方を考えなくてはならない.まずは, 座標の変換であるが,これは簡単である.図1から明らかに,これら 2つの座標系は

  $\displaystyle x^\prime=x\cos\theta+y\sin\theta$   $\displaystyle y^\prime=-x\sin\theta+y\cos\theta$   $\displaystyle z^\prime=z$   (9)

の関係がある.もう少し,分かり易く書くと

$\displaystyle \begin{bmatrix}x^\prime\\ y^\prime\\ z^\prime \end{bmatrix} = \be...
...\cos\theta & 0\\ 0 & 0 & 1 \end{bmatrix} \begin{bmatrix}x\\ y\\ z \end{bmatrix}$ (10)

となる.これから,ただちに式(7)と式 (8)のそれぞれの左辺には,

$\displaystyle \frac{\mathrm{d}^2}{\mathrm{d}t^2} \begin{bmatrix}x^\prime\\ y^\p...
...\cos\theta & 0\\ 0 & 0 & 1 \end{bmatrix} \begin{bmatrix}x\\ y\\ z \end{bmatrix}$ (11)

と言う関係があることがわかる.行列に書き直しているが,同じである.

残りは,座標が回転した場合,力の変化の様子を調べることにする.ただちに分かることは,A君とA$ ^\prime$君が見る力のz方向成分は,

$\displaystyle F_z=F_z^\prime$ (12)

とまったく同一になる. $ \mathrm{z}$軸を中心に回転を行うので,当たり前である.興味の対象 は, $ \mathrm{xy}$平面の力が,A君とA$ ^\prime$君でどのように見えるか--である.便宜上, 力 $ \boldsymbol{F}$ $ \mathrm{z}$方向と $ \mathrm{xy}$平面に投影した部分に分解する.

$\displaystyle \boldsymbol{F}=\boldsymbol{F}_\perp+F_z\boldsymbol{k}$ (13)

ここで, $ \boldsymbol{F}_\perp$ $ \mathrm{xy}$平面に投影した力,$ F_z$は力の $ \mathrm{z}$方 向成分, $ \boldsymbol{k}$ $ \mathrm{z}$方向の単位ベクトルである.A君の座標系では,

  $\displaystyle F_x=\vert\boldsymbol{F}_\perp\vert\cos\alpha$   $\displaystyle F_y=\vert\boldsymbol{F}_\perp\vert\sin\alpha$   (14)

となる.一方,A$ ^\prime$君の座標系では,

\begin{align*}\begin{split}F_x^\prime =\vert\boldsymbol{F}_\perp\vert\cos(\alpha...
...rt\left(\sin\alpha\cos\theta-\cos\alpha\sin\theta\right) \end{split}\end{align*} (15)

となる.式(14)と見比べると,これは

  $\displaystyle F_x^\prime=F_x\cos\theta+F_y\sin\theta$   $\displaystyle F_y^\prime=-F_x\sin\theta+F_y\cos\theta$   (16)

と書き直すことができる.式(12)と式(16)より, A君とA$ \prime$君の力の成分の関係は,

$\displaystyle \begin{bmatrix}F_x^\prime\\ F_y^\prime\\ F_z^\prime \end{bmatrix}...
...heta & 0\\ 0 & 0 & 1 \end{bmatrix} \begin{bmatrix}F_x\\ F_y\\ F_z \end{bmatrix}$ (17)

となることがわかる.

式(7)と式 (8)のそれぞれの左辺のの加速度の変換の式は式 (11)に示している.それぞれの左辺,すなわち力の関係は,式 (17)のとおりである.これらの式(11)や式 (17)は,座標変換にともなう加速度や力の変換仕方を表している のである.これらの式から,座標の回転によって,加速度の成分--座標の成分--と力の 成分が,同一の行列によって変換されることがわかる.同じ変換を受けるということであ る.ということは,式(7)が成立すれば,式 (8)が成り立つと言っている.これらの式--ニュート ンの運動方程式--の形は同一である.したがって,ニュートンの運動方程式は座標の回 転に対して,対称である.これは,座標軸を勝手にとっても,ニュートンの運動方程式は 成立すると言っている.これは,重要な事実である.

ここでは, $ \mathrm{z}$軸を中心に回転させたが, $ \mathrm{x}$軸でも $ \mathrm{y}$軸でも同じように対称と なる. $ \mathrm{x}$軸を中心に回転させて, $ \mathrm{y}$軸を中心に回転させるように回転を2回施し ても,同じように対称なるはずである.回転を2回施すことは,任意の方向を軸として, 回転を1回施す作用と同じである.したがって,任意の方向を軸にして,回転させても, ニュートンの運動方程式は対称となる.ニュートンの運動方程式は,回転に対して,対称 となっている.

図 1: 座標軸の回転
\includegraphics[keepaspectratio, scale=1.0]{figure/rot_xy_vec.eps}

1.4 ベクトル

物理学の基本法則は,座標の平行移動や回転に対して,その方程式の形は変わらない.す べての基本法則はそのように書かれているはずである.何度も言うようだが,これは,我々 が住んでいる世界には特別な原点や軸がないことを表している.単純な例として,ニュー トンの運動方程式が,そのようになっていることを先に示した.これから学習する電磁気 学も,座標の平行移動や回転に対して,方程式の形は変わらない.

これまで,示してきた加速度や力は,ベクトルの例である.これは,ある空間に固定され た一本の矢のように考えることができる.それは方向と大きさを持っている.それは,座 標系に関係なく存在している.この幾何学的な形をもつ1本の矢がどのように変化するの か考えるのが物理学である.だからこそ,平行移動や回転に対して,方程式の形が変わら なかったのである.

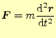
実際に問題を解く場合,適当に座標の原点と軸を決めて,基本方程式を解くことにな る.この場合,$ (x,y,z)$のように3つの数値が必要となる.この3つの数値の組をひとつ の記号 $ \boldsymbol{r}$で表すことにする.これをベクトルと言う.また,回転と平行移動を施し た別の座標系を使うと $ (x^\prime,y^\prime,z^\prime)$のように異なる組の数値が必要となる.この場合も同じ, 記号 $ \boldsymbol{r}$を使う.座標系により,成分は異なるが同じ記号を使うことになる. 許されるのは,

$\displaystyle \boldsymbol{F}=m\frac{\mathrm{d}^2 \boldsymbol{r}}{\mathrm{d}t^2}$ (18)

がどちらの座標系を使っても,同じ式になるからである.

ベクトルの成分がどのような性質があるかは,最後に述べる.


ホームページ: Yamamoto's laboratory
著者: 山本昌志
Yamamoto Masashi
平成18年5月26日


no counter