電磁波の放射の話の前に少し準備が必要である.ここでは,まずグリーン関数の概要を述
べる.
前回の講義でソース

がある場合の波動方程式
のグリーン関数
を導いた.計算は面倒であったが結果,直感的に理解できるものであった.このグリーン
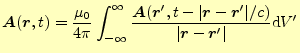
関数は図
1のようなもので位置

,時刻

のときにソース

が一瞬現れるとイメージする.観測点は場所

時
刻

で,そこで観測する波がグリーン関数

とな
る.式
2に含まれる

関数は

のときに値がある.これ以外の時刻はゼロとなっ
ており,まさにその時に波が到着するのである.これは,ソースと観測点の距離

を光速

で波が伝搬するので当たり前である.
また,式2の分母の部分は,波の振幅が距離に反比例
することを表している.先週,述べたように,これはエネルギー保存則からの類推と一致
している.
図 1:
ソースがある場合のグリーン関数のイメージ.位置
,時刻
のときにソース
が一瞬現れれ,波は速度
で拡散する.観測点の場所
がグリーン関数である.
|
|
グリーン関数が分かったので,偏微分方程式(1)の
解は
と書ける.

は

における体積積分である.これが,ソー
スのある微分方程式(
1)の解である.この結果も
当たり前のこと数式で示している.時刻

で

の位置で観測される波は,そこか
ら

離れた位置で時刻

のソースが
寄与するのである.これらを全部足し合わせれば観測点の波になる.寄与の仕方はエネル
ギー保存則が成り立つように,距離に反比例する.
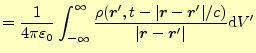
以前の講義で示したようにマクスウェルの方程式は,ベクトルポテンシャル

とスカラーポテンシャル

を用いて,
と記述することができる.電荷密度

がスカラポテンシャルのソース,電流

がベクトルポテンシャルのソースになっている.これらの方程式は,式
1と同じ形をしている.したがって,解も式
(
3)と同じ形になる.すなわち,次のような具合にである.
見事に,ソースがある場合のマクスウェルの方程式が解けた.
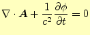
もちろん,電磁ポテンシャルは独立に存在しているのでは無く,ローレンツ条件
で結ばれている.このローレンツ条件は,電荷の保存則を満たしていれば,自動的に満足
する.式(
6)と(
7)を式
(
8)に放りこんで,これが成立する条件を探せば良い.分から
なければ,文献 [
1]を読め.電荷保存則が満足すればローレンツ条
件を自動的に満足することは重要である.電荷保存則を満足するようにソースを決めるだ
けでよく,後でローレンツ条件を計算しなくても良いのである.
電磁ポテンシャルから,電場や磁場は,
と計算できる.これでマクスウェルの方程式の全てが解けたことになる.今まで学習し
てきたマクスウェルの方程式といわれる微分方程式が完全に解けたのである.後は必要な
積分と微分を行えば,いかなる場合の電磁場の計算が可能なのである.
|
電磁場を記述する方程式と完全な解
電磁場を以下の式で完全に記述ができる.
この方程式の完全な解は,次のとおりである.
|
ホームページ:
Yamamoto's laboratory著者:
山本昌志
Yamamoto Masashi
平成18年9月24日