無限に長い直線電流どうしに働く力を考える.そのために,それが作る磁場を計算する.
磁場は微分形のアンペールの法則
 |
(26) |
から導くのが簡単である.この直線電流から,

離れた場所で積分を行う.
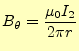
これから,磁束密度は
 |
(28) |
となる.この磁束密度は元々,力から定義されていた.図
8のように置かれた電線が単位長さ当たり受ける力は,
となる.静磁場の講義のはじめにこれを磁場の定義とした.実際には,これで電流を定義
している.
式(29)に示した力は平行に導線を張った場合に働く力で
ある.それに対して,平行でない場合は,
 |
(30) |
となる.これをアンペールの力と言う.
教科書の図6.2に書いてある通り,コイルの上下方向の力は,反対で一直線上にある.し
たがって,コイルの重心を移動させる力は発生しない.トルクはどうだろうか?.ゼロで
あることは直ちに理解できる.上下方向の力をそれぞれ,

と

とすると
となる.直感の通り,ちゃんと計算してもコイルの上下方向の働くトルクは,キャンセルされ
る.
左右方向はどうだろうか?.力の大きさが反対なので,重心を移動させる力は発生しない.
しかし,トルクは発生する.左右方向の力をそれぞれ,
と
とすると
となる.ここで,

は図のAからBへ向かうベクトルに等しい.した
がってトルクの大きさは,
 |
(33) |
となる.方向は,コイルの左右の線と力との双方に垂直な方向である.また,力はアンペー
ルの法則より,

なので,トルクの大きさは,
となる.ここで,

はコイルの面積である.このトルクを表す式は,コイルが平面であ
ればどんな形状のものでも成り立つ.
ホームページ:
Yamamoto's laboratory著者:
山本昌志
Yamamoto Masashi
平成18年7月6日