4 ニュートン法(Newton's method)
関数

のゼロ点

に近い近似値

から出発する.そして,関数

上の
点

での接線が,x軸と交わる点を次の近似解

とする.そして,次の
接線がx軸と交わる点を次の近似解

とする.同じことを繰り返して

を求める(図
4).この計算結果の数列

は初期値

が適当であれば,真の解

に収
束することは図より明らかであろう.
実際にこの数列を計算するためには,漸化式が必要である.図のようにすると,関数
上の点
の接線を引き,それとx軸と交点が
になる.まずは,
を求めることにする.点
を通り,傾きが
の
直線の方程式は,
 |
(12) |
である.図
4より,

の時の

の値が

になることが
分かる.したがって,

は,
となる.これで,

から

が計算できる.これをニュートン法の漸化式と言う.この漸化
式を用いれば,次々とより精度の良い近似解を求めることができる.
計算の終了は,
 |
(14) |
の条件を満たした場合とするのが一般的である
5.

は計算
精度を決める定数で,非常に小さな値である.これ以外にも計算の終了を決めることは可
能なので,状況に応じて,計算の打ち切り方法を決めればよい.実際に式
(
4)を計算した結果を図
4に示す.接線
との交点が解に近づく様子がわかるであろう.
図 4:
の実数解をニュートン法で計算し,解の収
束の様子を示している.初期値
から始まり,接線とx軸の交点からよ
り精度の高い回を求めている.
|
|
ニュートン法は複素数にも適用できる .また,連立方程式にも容易に拡張できる.諸君
が学習してきた数は,自然数

整数

有理数

無理
数

複素数

ベクトル

行列

と拡張されてきた.しかし,どのような数であれ,演算規則は非常に似通っていることは
今まで経験してきたとおりである.このことから,実数で成り立つ方法は,複素数や行列
にも成り立つことが予想できる.このように考えると,ニュートン法が連立方程式や複素
数に拡張できることも不思議ではない.
これは少し高度な内容なので,8節におまけで載せておく.た
ぶん,諸君の中の何人かは一瞬にして実数の近似解を求めるニュートン法を理解したと思
う.これまでの話が理解できた者は,8節を勉強することを勧
める.
ニュートン法を使う上で必要な式は,式(
13)のみである.計算
に必要な式は分かったが,数列がどのように真の解

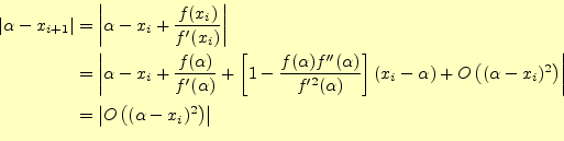
に収束するか考える.

と真値

の差の絶対値,ようするに誤差を計算する.

を
忘れないで,右辺

を

の周りでテイラー展開する.すると,
となる.

番目の近似値は,

番目に比べて2乗で精度が良くなるのである.これを,
二次収束と言い,非常に早く解に収束する.例えば,

の精度で近似解が得られ
ているとすると,もう一回式(
13)を計算するだけで,

程度の精度で近似解が得られるということである.一次収束の二分法よりも,収
束が早いことが分かる.
アルゴリズムから,二分法は解に必ず収束する
6.ただし,収束のスピードが遅いのが欠点である.
一方,ニュートン法と解に収束するとは限らない.初期値が悪いと解に収束しない場合が
ある.厳密にその条件を求めるのは大変なので,実例を示すことにする.
非線形方程式
 |
(16) |
を計算することを考える.これは,初期値が悪いと収束しない方程式の例である.例えば
初期値

の場合,図
5のように収束しない
7.これを初期値

にすると図
6のように
収束する.
このようにニュートン法は解に収束しないで,振動する場合がある.こうなると,プログ
ラムは無限ループに入り,永遠に計算し続ける.これは資源の無駄遣いなので,慎むべき
である.通常は,反復回数の上限を決めて,それを防ぐ.ニュートン法を使う場合は,こ
の反復回数の上限は必須である.
ニュートン法で収束する必要条件が分かればこの問題は解決する.しかし,それを探すの
は大変である.というか私には分からない.一方,十分条件は簡単にわかる.閉区間
で,
のような関数を考える.このとき,
- 常に
で,初期値が
の場合
- 常に
で,初期値が
の場合
は,必ず収束する.ニュートン法の図から明らかである.

の場合は,

に-1倍すれば,先の十分条件を考えることができる.
実際には収束しない場合のほうが稀であるので,ニュートン法は非常に強力な非線形方程
式の解法である.ただ,反復回数を忘れないことが重要である.また,二分法と組み合わ
せて使うことも考えられる.
二分法同様,関数と計算を打ち切る条件はプログラム中に書くものとする.そうすると,
図
7のようなニュートン法のフローチャートが考えられる.
ホームページ:
Yamamoto's laboratory著者:
山本昌志
Yamamoto Masashi
平成18年7月11日