定積分,
 |
(3) |
の近似値を数値計算で求めることを考える.積分の計算は,先に示したように面積の計算
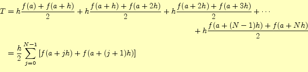
であるから,図
2のように台形の面積の和で近似ができるであ
ろう.積分の範囲
![$ [a,b]$](img6.png)
を

等分した台形で近似した面積Tは,
となる.これが数値積分の台形公式である.なんのことはない,積分を台形の面積に置き
換えているだけである.
台形公式による数値積分では,分割数

を大きくするとその誤差は小さくなることは直
感で分かる.それでは,分割数を増やしていくとどのように精度が良くなるのか考えてみ
よう.
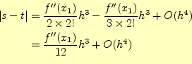
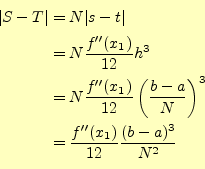
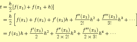
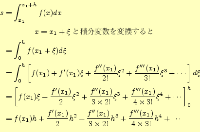
まずは,式(4)のある一つの台形の面積と実際の積分の値を比較する.台
形の面積
は,台形公式より,
となる.これを実際の積分
と比較することにする.これら2つの式の形がぜんぜん違うので比較できないと考えだろ
うが,このような場合の常套手段がある.このようなときには,テーラー展開をつかう.式(
5)を

の周りで,テイラー展開す
ると
となる.これが台形の面積のテイラー展開である.一方,積分の
式(
6)もテイラー展開する.これは,
となる.この2つの式(
7)と
(
8)が台形での近似と
まっとうに積分を行ったときのテイラー展
開を表す.これらの式を比べると,刻み巾

の2 次まで一致している.異なるのは3次以
降で,積分の誤差は,
と表せる.即ち,積分を台形で近似したひとつの区間の誤差は,刻み幅の

で効いて
くるのである.従って,積分のトータルの誤差は,それを区間の個数

を乗じた
となる.積分の誤差は

に比例する.分割数を10倍に
すれば,積分の誤差は1/100になるわけである.
ホームページ:
Yamamoto's laboratory著者:
山本昌志
Yamamoto Masashi
平成19年1月19日