計数行列

の対角行列を反復計算の行列

としたものがヤコビ(Jacobi)法で
ある.ガウスもそうだが,ヤコビもいろいろなところで顔を出す.ヤコビ法では,係数行列を
![$\displaystyle \left[ \begin{array}{@{\,}ccccc@{\,}} a_{11} & a_{12} & a_{13} & ...
... & \ddots & \vdots \\ a_{n1} & a_{n2} & a_{n3} & \ldots & 0 \end{array} \right]$](img97.png) |
(21) |
と分解する.右辺第1項が行列

で第2項が

となる.

の解の
計算に必要な

の逆行列は,それが対角行列なので,
![$\displaystyle \boldsymbol{S}^{-1}= \left[ \begin{array}{@{\,}ccccc@{\,}} a_{11}...
...vdots & \ddots & \vdots \\ 0 & 0 & 0 & \ldots & a_{nn}^{-1} \end{array} \right]$](img102.png) |
(22) |
と簡単である.

番目の近似解は,

なので容易に求めるこ
とができる.ようするに,逆行列が簡単に求められるように係数行列を分解したのである.
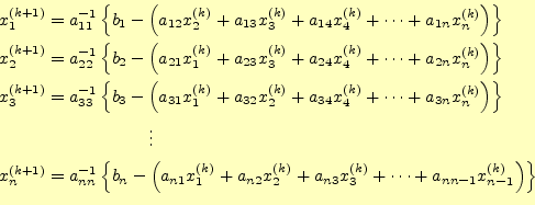
実際,

番目の解
とすると,

番目の解は
と計算できる.これが,ヤコビ法である.行列の形で表すと
 |
(24) |
となる.ここで,

は係数行列

の対角成分から作った対角行列である.

が対角優位な行列の場合,ヤコビ法の

の最大固有値は1以下
になることが分かっている
3.対角優位行列ならば,
ヤコビ法は収束するのである.十分条件ではあるが,これは使える.なぜならば,自然科学
の計算でお目にかかる多くの行列はこの性質を満たしているからである.
ホームページ:
Yamamoto's laboratory著者:
山本昌志
Yamamoto Masashi
平成18年11月12日