図
1のようなCR直列回路に交流電圧

を加えたとき,
抵抗およびコンデンサーの両端の電圧
となる.ここで,

が抵抗,

がコンデンサー両端の電圧である.

は時定数で,

と定義する.ここで,

が1に比べて
十分小さい場合,抵抗両端の電圧

は電源電圧の微分となる.また,コン
デンサーの電圧

は電源電圧の積分となる.
素子間の電圧を電源電圧との比[dB]であらわす,
となる.これを,周波数

を横軸に,

と

を縦軸に
してグラフに描くと,図
2のような特性曲線が得られる.
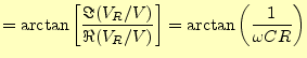
同様に,電源との位相差は,
となる.

は実数部,

は虚数部を表す.これをグラフに描くと,図
2のような特性曲線になる.
この図中の
は
となる周波数で,これをCR回路の遮
断周波数と言う.このとき,位相差は,
[rad]=45 [deg]となる.
|
図 2:
ゲインと位相(C=0.001[ F], R=10[k ])
|
|
|
ホームページ:
Yamamoto's laboratory著者:
山本昌志
Yamamoto Masashi
平成18年7月3日