図
6に示すように

軸と垂直な弦の振動の方程式を考える.

軸か
らの弦の変位を

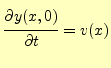
とする.場所

と時刻

を決めたら弦の変位が決まるので,変
位は

と表すことができる.弦の変位は

は,弦の長さ

に比べて十分小
さい場合,次の偏微分方程式が成り立つ.
これを波動方程式と言う.ここで,

は波の速度,

は弦の張力,

は弦の線密度である.
波動方程式(
64)--偏微分方程式のひとつ--の解を,
とそれぞれの変数の関数の積の形になると仮定する.これを変数分離形と言う.この仮定
した解を元の偏微分方程式に代入する.すると,
 |
(66) |
が得られる.これは,
 |
(67) |
となる.この左辺は時刻

のみの関数で,右辺は場所

のみの関数である.これが等し
いということは,両辺の値は定数でなくてはならない.この定数を

とすると,
 |
(68) |
となる.これを整理すると,
という連立常微分方程式になる.弦の振動の場合,図
6に示すように
弦の両端で固定されている.固定されている部分では,弦の変位

はゼロである.
したがって,
| |
 |
|
 |
|
(71) |
である.この条件--境界条件--を満たすことができるのは,
である.時刻の項の常微分方程式(
70)は,
 |
(73) |
となる.

は正の実数であるので,一般解は
となる.空間および時刻の常微分方程式から得られた解を元の仮定した解
(
65)に代入すると
 |
(75) |
となる.元の波動方程式は線形なので,重ね合わせの原理が成り立つ.すなわち,解は
と書き表すことができる.
弦の振動の境界条件は,
| |
 |
|
 |
|
(77) |
である.物理的には,弦の両端を固定している--ことに対応している.すでに,この条
件は式(
76)に含まれている.空間に関する波動方程式の解のうち

の項のみを選んだ過程を思い出せ.
式(
76)の

と

は,時刻

の弦の形と速度分布より決めること
ができる.

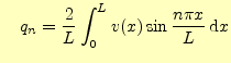
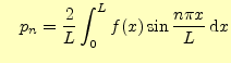
のときの形と速度を
とする.この様子を図
7と
8に示
す.これらを
初期条件という.初期の弦の形

と速度分布

は問題として
与えられるので既知である.偏微分方程式(
64)は,初期条件以降の弦の運
動を表す.
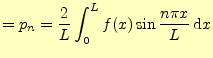
偏微分方程式の解である式(76)が初期条件を満足するように
と
を決めれば,波動方程式が完全に解けたことになる.それらの値は,初期条件と比
較することにより決めることができる.式(76)の
の弦の形と速
度は,
となる
6.
解の式から求めたこれらは,初期条件である式
(78)と(79)に等しい.だから,
となる.この式から,既知である

と

を使い

と

を決めれば,全て解
けたことになる.問題は,この式から

と

を決めることである.
ここで,
と
を求める前に,
と
の性質を考える.
や
の
定義域は
である.したがって,
や
はフーリエ級数,フーリエ正弦
級数,フーリエ余弦級数などで展開できる.また,
と
で弦は固定されているので,
 |
(84) |
 |
(85) |
となる.これらのことから,

と

はフーリエ正弦級数で展開する--ことが望
ましい.係数の収束も早いし,式(
82)や
(
83)との対応も良い.すなわち
である.
これらの式を,式(82)や(83)に代入すると
となる.したがって,
| |
 |
|
 |
|
(90) |
である.これから,
と

と

を求めることができる.これで,波動方程式が境界条件や初期条件の元,
完全に解けたことになる.解は,次のように書くことができる.
弦の初期状態を図
9のようにする.弦の中央をゆっくりとつま
んで,そして離す.どのように振動するであろうか?
式(93)の
と
を決めれば,弦の振動は確定する.そのた
めに初期条件を考えよう.
の時,弦の速度はどこでもゼロなので,
である.
したがって,式(87)より,
 |
(94) |
となる.残りの

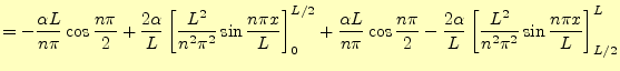
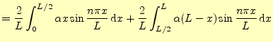
は,式(
86)を用いて計算する.弦の初期状態は
 |
(95) |
と書くことができる.ここで,

は弦の傾き,

は弦の長さである.これから,

は,式(
86)を使うと次のように計算できる.
なので,弦の振動は,
 |
(97) |
となる.

の項は

が偶数の場合ゼロとなる.したがって,

は奇数のみ
を加算すればよい.すると,
となる.これが,最初の図
9の状態の弦の振動を表す式である.
これを弦の条件
を代入するとラの音がでる.位相が30度ごとの弦の状態を図
10〜
15に示す.想像もつかないような弦の形になる.なぜ,このようなこ
とが生じるか,物理的な理由を考えてみよ.
ホームページ:
Yamamoto's laboratory著者:
山本昌志
Yamamoto Masashi
平成19年2月28日