フーリエ級数の係数を求める方法が分かった.本当に,任意の周期関数を三角関数の和に
なっているかを,p.224の例題1と例題2を使って確かめる.
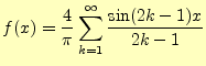
これまでの結果を利用して,図
2のような矩形波をフーリエ級数で
表す.これは,教科書のp.224の例題1である.
や
を求める積分の範囲は,
である.しかし,図
2の関数は,
で不連続になっている.そのため,
と
に分けて,積分を実施する.そうすると,
が得られる.積分は,教科書を見て自分でも計算すること.
図 2:
周期
の矩形波
|
|
この式の右辺は,本当に図2のような矩形波になっているのだろう
か?.コンピューターを使って計算してみる.ここで,フーリエ級数の部分和
を
 |
(16) |
とする.ちゃんとしたフーリエ級数であれば,

とすべきであるが,
コンピューターでは無限大は無理なので,有限の

まで計算する.計算結果を図
3から図
8に示す.

が大きくなると,矩形波
に近づく.この例で示すように,たとえ不連続な関数であっても三角関数で
展開できる.図
9を見て分かるように,部分和もきれい
な

の周期関数になっている.
ここでの計算結果は,驚くべきことである.図2のような不連続な
関数は,式(15)のように三角関数を使って取り扱うことができる--
という事実6を
表している.このような不連続な関数は,電気回路ではしばしば現れる.デジタル回路の
パルスは,矩形波である.今,諸君はパルスを解析する手段を得たことになる.電気回路
でおなじみの交流--サイン波-- の解析手法を用いて,パルスが解析できる!!!.
図 9:
x軸を拡大した
のフーリエ級数.
|
|
つぎに,図
10のような三角波(教科書のp.224-225の例題2)をフーリエ
級数で表す.これも,
![$ [-\pi,\pi]$](img156.png)
の範囲で,積分を行い

と

を求める.先ほど
同様,

で不連続な関数なので,積分は
![$ [-\pi,0]$](img160.png)
と
![$ [0,\pi]$](img161.png)
の2つの部分に分ける.
そして,教科書に示しているように部分積分を使うと,
が得られる.
図 10:
周期
の三角波
|
|
式(
17)の部分和を図
11から
16に
示す.矩形波より収束が早いことが分かるだろう.これまでの2つの結果から,フーリエ
級数は正しそうである--ということが感覚的理解できるであろう.本当は,自分でプロ
グラムを書いてみることが重要であろう.プログラムの得意な者はトライせよ.
ホームページ:
Yamamoto's laboratory著者:
山本昌志
Yamamoto Masashi
平成18年12月1日