フーリエ級数の物理的なイメージを持つために,パルス状の電圧の波を考える.具体例として,
周波数

[

],パルス幅が

[

],振幅

のパルス状の正弦波を考える.
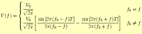
 |
(9) |
と表すことができる.

は角振動数と呼ばれる量で,

の関係
がある.周波数

を使うと式中に

がいつも顔をだし,じゃまなので角振動数と
いう量が使われる.
これを,区間
としてフーリエ級数を考えよう(図1).パルス幅の1
倍,2倍,3倍,10倍,100倍と変化させた場合のフーリエ係数を知りたいのである.
このパルス状正弦波は奇関数なので,フーリエ係数の
はゼロとなる.いっぽう,
は
の積分より計算できる.ここで,
 |
(11) |
とする.すると,フーリエ係数は

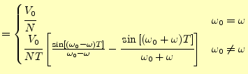
と書き直してもよいだろう.
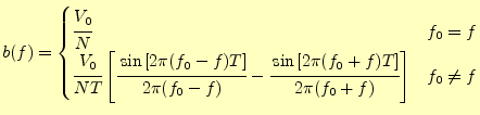
これを角振動数ではなく,より分かり易い周波数に直すと,
となる.この

を
として,グラフにすると次のようになる.
このグラフの結果から,次のことが分かる.
- 最もピーク電圧の高い周波数は,1[
]である.これは,正弦波の周波数と
なっている.
- 電圧がゼロとなる周波数が100[
]間隔で表れる.式(13)から
分かるように,これはパルス幅10[
]の逆数である.パルス状の波は,パ
ルス幅と同程度,周波数が拡がることを意味している.これは電気では重要で,
「パルス幅の短い波は広いスペクトルを持つ」ということを表している.パルス
幅の狭いノイズは広いスペクトルを持つので,フィルターでの減衰が難しくなる.
- 周波数を横軸したピーク電圧は定義している時間幅
に反比例している.これは
パーセバルの等式
を考えれば,納得できる.
つぎに,パルス状の正弦波である式(
9)をフーリエ変換する.これは,
奇関数なのでフーリエ正弦変換となる.
あるいは,角振動数ではなく,周波数で表示すると,
となる.これを,
として,グラフにするとつぎのようになる.
フーリエ変換の図
2〜
7の横軸は,周波数である.縦軸は,電
圧となっている.横軸は周波数である.このことは,式(
13)から分かる.
フーリエ変換の図8はどうであろうか?.横軸は明らかに周波数である.縦軸
の次元は,
となっている.これについては,式(16)から分
かる.
フーリエ変換は,時間情報を周波数情報に変換している.すなわち,時刻の関数で振幅が

が
分かったとすると,周波数(角振動数)の関数でその振幅

がわかる.
ホームページ:
Yamamoto's laboratory著者:
山本昌志
Yamamoto Masashi
平成19年2月22日