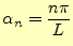
これまで学習してきたように,次のような関数はフーリエ級数で表すことができる.
-4pt
例えば,周期

あるいは区間
![$ [-L,L]$](img3.png)
で定義された関数

は,
のようにフーリエ級数で表すことができる.
先に示したように,フーリエ級数は有限な区間
![$ [-L,L]$](img8.png)
で定義された関数を表すことがで
きる.それを無限の区間
![$ [-\infty,\infty]$](img9.png)
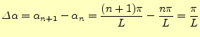
に拡張することを考える.ここで
は,有限な

の式から出発して,それを

にする.式
(
1)の

に

と

を代入すると,
が得られる.ここで,
有限の値 |
(3) |
とするならば,式(
2)の右辺の第一項はゼロに収束する
2.なぜならば,

の係数が無限小になるからである.つぎに,
| |
 |
(4) |
| |
 |
(5) |
とおく.すると,

は

となる.したがっ
て,

の場合の式(
2)は,
となる.ここで,
とおく.すると,式(
6)は,
となる.この右辺はリーマン和の極限--普通の積分--の形になっている.したがって,
と書くことができる.これまでの話をまとめると,次のようになる.
|
フーリエ積分1
区間
で定義された関数 は,次のフーリエ積分で表すことができる.
|
つぎに,式(7)と式(8)を式
(10)に代入すれば,
がえられる.これもフーリエ積分である.
|
フーリエ積分2
区間
で定義された関数 は,次のフーリエ積分で表すことができる.
 |
(12) |
|
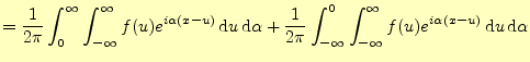
式(
11)から,指数関数を用いたフーリエ積分を求める.その
計算をするときに,オイラーの公式より導くことができる.ここでは,
 |
(13) |
を用いる.
この式を使うと,式(11)は次のように変形できる.
この式は,一般には次のように変形されて使われることが多い.
この式もまた,フーリエ積分の別の形である.他のフーリエ積分に比べると式が単純であ
ること,また次のフーリエ変換との関係が深いことから,これがもっとも重要である.
|
フーリエ積分3
区間
で定義された関数 は,次のフーリエ積分で表すことができる.
|
ここまでの話は,教科書 [
1]のp.239-242に対応する.しかし,教科書で
は等号(

)を使わずに,正確でないがまあ良かろうという意味で記号

を使ってい
る.配布したプリントでは,いきなり等号(

)を使っている.近似記号(

)を等
号(

)に直すためには,教科書 [
1]の定理4が必要ということである.こ
れが必要な理由は,私は分からない.不連続点の取扱いを定めたものと考えて,「こんな
ものか」という程度にとどめるのが良いだろう.直感的に正しそうで,なにもそんなに不
思議なことはない.このあたりはフーリエ級数と同じ.
ホームページ:
Yamamoto's laboratory著者:
山本昌志
Yamamoto Masashi
平成19年1月19日