3 静電ポテンシャル

3.1 回転

発散と回転を決めれば、ベクトル場は一意に決まると、以前述べた。微分型 のガウスの法則の式(9)は、電場の発散を表している。従って、回転 が分かれば、電場を記述する方程式の完全なセットが得られることになる。そこで、、電 場の回転がどうなっているか考える。

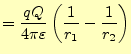
回転を考えるために、電場の線積分を考える。図1の場合の二つの積分 経路AとBの積分を考えると。電場の線積分の結果は、どちらも同じ値になる。それは、

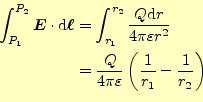
\begin{equation*}\begin{aligned}\int_{P_1}^{P_2}\boldsymbol{E}\cdot \mathrm{d}\b...
...varepsilon}\left(\frac{1}{r_1}-\frac{1}{r_2}\right) \end{aligned}\end{equation*}

である。どのような経路をとっても、その電場の線積分はスタート点とゴール点で決まる。
図 1: 道筋AとBでの電場の線積分の比較
\includegraphics[keepaspectratio, scale=0.7]{figure/int_E_ds.eps}

この積分はなにを表すか?、少し考えよう。電荷$ q$が電場 $ \boldsymbol{E}$の中に置かれたとき $ q\boldsymbol{E}$の力を受ける。従って、 $ q\boldsymbol{E}\cdot\mathrm{d}\boldsymbol{r}$は電場が電荷$ q$にする仕 事量になる。このことから、式(10)は電荷$ q$を乗じた量は、電場の仕事 量

$\displaystyle W$ $\displaystyle =q\int_{P_1}^{P_2}\boldsymbol{E}\cdot \mathrm{d}\boldsymbol{\ell}$    
  $\displaystyle =\frac{qQ}{4\pi\varepsilon}\left(\frac{1}{r_1}-\frac{1}{r_2}\right)$ (11)

になる。当然、これも積分経路に依存しない量になる。これは、ちょうど、重力場におけ る位置エネルギーの関係と同じである。電荷が重力場での質量になり、高さが

$\displaystyle h=\frac{Q}{4\pi\varepsilon}\frac{1}{r}$ (12)

に相当する。これは、ポテンシャルと呼ばれる量で、$ \phi$で表される。図 2にその様子を示す。
図 2: 電荷$ Q$によるポテンシャル
\includegraphics[keepaspectratio, scale=1.0]{figure/potential_like_hight.eps}

1つ電荷ではなくて、もっとたくさんの電荷がある場合、電場はそのベクトル 和、 $ \boldsymbol{E}=\boldsymbol{E}_1+\boldsymbol{E}_2+\boldsymbol{E}_3+\cdots$となる。したがって、電場 の線積分は、それぞれの線積分

$\displaystyle \int_{P_1}^{P_2}\boldsymbol{E}\cdot \mathrm{d}\boldsymbol{\ell}$ $\displaystyle =\int_{P_1}^{P_2}\left(\boldsymbol{E}_1+\boldsymbol{E}_2+\boldsymbol{E}_3+\cdots\right) \cdot \mathrm{d}\boldsymbol{\ell}$    
  $\displaystyle =\int_{P_1}^{P_2}\boldsymbol{E}_1\cdot \mathrm{d}\boldsymbol{\ell...
...\ell}+ \int_{P_1}^{P_2}\boldsymbol{E}_3\cdot \mathrm{d}\boldsymbol{\ell}+\cdots$ (13)

となる。各々の電荷のつくる電場の線積分は、道筋に依存しないのは先ほど述べたとおり である。したがって、多くの電荷がある場合、これは任意の静電場に相当、その線積分は 道筋に依存しないと結論できる。

このことから、また別の結論も引き出せる。任意の閉曲線の沿った線積分

$\displaystyle \oint\boldsymbol{E}\cdot \mathrm{d}\boldsymbol{\ell}=0$ (14)

となる。したがって、静電場の回転は

\begin{equation*}\begin{aligned}\nabla\times\boldsymbol{E}&=\lim_{S\to 0}\frac{\...
...ymbol{E}\cdot \mathrm{d}\boldsymbol{\ell}}{S}\\ &=0 \end{aligned}\end{equation*}

となる。

以上より、静電場の発散を表す式(9)と回転を示す式 (15)を示すことができた。これで、発散と回転が分かったの で、これで静電場は決まる。

3.2 スカラーポテンシャル(電圧)

静電場ではその回転はゼロである。ベクトル解析によれば、恒にスカラー場の勾配の回転はゼ ロなので、

$\displaystyle \boldsymbol{E}(\boldsymbol{r})=-\nabla\phi(\boldsymbol{r})$ (16)

となる、スカラー場 $ \phi(\boldsymbol{r})$があるはずである。あるいは、式 (10)のように積分の経路に依存しないスカラー量$ \phi$という量を決め ることができる。

$\displaystyle \phi(\boldsymbol{r}_2)-\phi(\boldsymbol{r}_1) =-\int_{\boldsymbol{r}_1}^{\boldsymbol{r}_2}\boldsymbol{E}\cdot \mathrm{d}\boldsymbol{\ell}$ (17)

このスカラー場 $ \phi(\boldsymbol{r})$のことをポテンシャルと言う。ポテンシャルの定義式 (16)を積分したら得られる。聞きなれた言葉で言うと、電圧のこと である。重力場での高さと同じ役割を果たすことは、先に述べたとおりである。

次に、位置の関数としてのポテンシャルを決めたい。一般にポテンシャルの値に、任意の 定数を足し合わせても、その電場の大きさは変わらない。定数は微分(勾配)すると、ゼロ になるからである。ポテンシャルで重要な意味を持つものは、その差である。どこかに基 準を置いて、そこからの差でポテンシャルの大きさを定義する。ようするに、山の高さは 海面を基準にするのと同じである。あるいは、電気回路において、どこかにアース電位 (0V)を決めるのと同じである。基準を変えても、物理法則は何も変わらないことに注意が 必要である。

通常、無限遠点をポテンシャルの基準とする。すると、

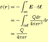
\begin{equation*}\begin{aligned}\phi(\boldsymbol{r}) &=-\int_{\infty}^{r}\boldsy...
...lon r^2}\mathrm{d}r\\ &=\frac{Q}{4\pi\varepsilon r} \end{aligned}\end{equation*}

となる。これで、点電荷$ Q$が原点にあるときのポテンシャル$ \phi(r)$が決め られた。 $ r\to\infty$とするとそのポテンシャルはゼロとなる。要するに、無 限遠点のポテンシャルがゼロになるように基準が決められたのである。

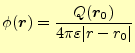
もっと一般的に書くと、ポテンシャルは

$\displaystyle \phi(\boldsymbol{r})=\frac{Q(\boldsymbol{r_0})}{4\pi\varepsilon \vert r-r_0\vert}$ (19)

となる。
ホームページ: Yamamoto's laboratory
著者: 山本昌志
Yamamoto Masashi
平成19年6月24日


no counter