3次元のスカラー場を図にすることは大変なので、最初は2次元スカラー場を用いて説明す
る。ただ、3次元でも全く同じことであることは頭の隅に入れておく必要がある。2次元の
スカラー場として、山の高さ

を考える。これは、位置ベクトル

の関数
で

あるいは

と書くことができる。
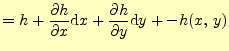
ここで、
だけ異なる位置の山の高さの差
を考える。これは、
 |
 |
|
| |
 |
|
| |
の周りでテーラー展開して、1次の項のみをとると |
|
| |
 |
|
| |
 |
(6) |
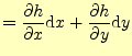
となる。最後の式は全微分の式そのものなので、いきなりこれを書いても良い。ここでは、
山の高さの差が分かりやすいように、テーラー展開を用いて示しただけである。ところで
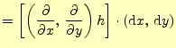
この式は、
 |
 |
|
| |
 |
|
| |
![$\displaystyle =\left[\left( \if 11 \frac{\partial }{\partial x} \else \frac{\pa...
...rtial^{1} }{\partial y^{1}}\fi \right)h\right] \cdot(\mathrm{d}x,\,\mathrm{d}y)$](img21.png) |
|
| |
![$\displaystyle =\left[\boldsymbol{\nabla}h\right]\cdot \mathrm{d}\boldsymbol{r}$](img22.png) |
|
| |
括弧が無くても微分の順序は間違うことはないので |
|
| |
 |
(7) |
と書くことができるであろう。最後の式がベクトルで表した山の高さの差である。
先週示したように、

は

の勾配と呼ばれるベクトル量である。むろん、変位

はベクトル量である。そしてこれらのベクトル量のスカラー積は、2点間の山の
高さの差

を表し、それは明らかにスカラー量となる。山を歩いていて、

移動すると、

標高が変化するということを表している。ただし、式
(
7)は、

がゼロの極限のみで正しいことを忘れて
はならない。
ここで勾配
の意味を考えなくてはならない。勾配
はベクトル量なの
で方向と大きさを持っているはずである。それを考えてみよう。そこで、式
(7)を
と書き換えておこう。もちろん、

は2つのベクトルの間の角度である。勾配は場
の量として決まっているが、変位

は任意にとれる。地形は変えられない
が、そこを歩く人間はどの方向にも向かうことができる。ぐるっと見渡して、もっとも高
く上れる方を考える。式(
8)から同じだけ歩いてもっと
も高く登れるのは、2つのベクトルが同じ方向を向いている場合である。このことから、
勾配はスカラー場の値が大きくなる方向に向かっていることが分かる。スカラー場を等高
線で表すと勾配はそれと直角方向にスカラー場の値が大きくなる方向に向かってる。勾配
の大きさは、スカラー場の変化の割合を表しているの直ちに分かる。等高線の密度が詰まっ
ているときに勾配は大きくなるのである。数学用語で勾配と言っているが、坂道を上ると
きの勾配と同じである。
ここでは2次元で話を進めたが、3次元スカラー場でも全く同じである。3次元の場合は、
等高線ではなく等高面になる。この場合の勾配は、等高面に垂直で、スカラー場の値が大
きくなる方向に向かっている。スカラー場の大きさは、等高面の間隔反比例しているのは
2次元の場合と同じである。4次元の場合はどうなるか?。これは絵ではかけないので、式
で考えるしかない。ただし、同じ形をしている。
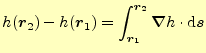
2つの場所

と

の標高差を考える。これは、勾配の積分として
のように表すことができる。

から

への経路に依存しない。標高差が
勾配の積分で表せること、せきぶんの経路に依存しないことをしめす。そのため、ここで
ちょっとこの積分の意味を考えよう。積分の復習にもなるので丁度良い教材である。元々
積分は、値とその微少量をかけて足しあわせる演算であった。次の式のようにである。
これは、ちょうど図
1のように表せる。積分のパスを分割して、それ
ぞれの場所での勾配と変位の内積を計算して足しあわせる。そして、変位を無限小にした
場合の和が積分である。
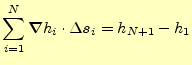
次に、式(12)の和を考える。微少量の内積を図2に示す。こ
れは、式(7)から、
 |
(11) |
となる。積分路を

分割したとして、それを足しあわせると、
となる。ここで、

をゼロに近づけた極限では、

は

で、

は

である。従って、式(
9)が証明できた。これ
までの議論から、積分路に依存しないことも明らかであろう。
これも2次元で考えたが、3次元に拡張しても一般的に成り立つ。
を3次元のスカラー
場とすると、
である。スカラー場の差は、勾配を積分すれば得られるのである。
ホームページ:
Yamamoto's laboratory著者:
山本昌志
Yamamoto Masashi
平成19年6月24日