4 クーロンの法則

4.1 クーロン力とその大きさ

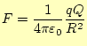
電磁気学の最初の学習はクーロンの法則から始めることが多い。教科書に沿って、ここで もそれから始める。図1に示すように2つの電荷の 間に働く力の関係を表すのが発見者の名前を付けてクーロンの法則という。教科書では、 それを

$\displaystyle F=\frac{1}{4\pi\varepsilon_0}\frac{qQ}{R^2}$ (4)

と書いている3。ここで、$ F$は力(単位は[N])、$ Q$$ q$力が作用する2つの電荷量(単位は [C])、$ R$は電荷間の距離(単位は[m])である。そして、 $ 4\pi\varepsilon_0$は比例定数 で、$ 4\pi$がつくのは後で式を簡単にするためである。 $ \varepsilon_0$は、真空中の誘 電率で $ 8.85418782$[F/m]である。力の方向は、電荷の積が負の場合引力、正の場合斥力 となる。

この力と重力の大きさを比べてみよう。2つの電子間に働く力の比は

$\displaystyle \frac{F_e}{F_g}$ $\displaystyle =\frac{\frac{1}{4\pi\varepsilon_0}\frac{e^2}{R^2}} {G\frac{m_e^2}{R^2}}$    
  $\displaystyle =\frac{1}{4\pi\varepsilon_0G}\left(\frac{e}{m_e}\right)^2$    
  $\displaystyle =\frac{1}{4\times 3.1415 \times 8.85 \times 10^{-12} \times 6.67 \times 10^{-11}} \left(\frac{1.60 \times 10^{-19}}{9.11 \times 10^{-31}}\right)^2$    
  $\displaystyle =4.1 \times 10^{42}$ (5)

となり、電気的なクーロン力の方が$ 10^{42}$倍も大きいのである。このことについて、 ファインマンは、次のように述べている [1]。
全ての物質は正の陽子と負の電子電子との混合体で、この強い力で引き合い反発しあっ ている。しかしバランスは非常に完全に保たれているので、あなたが他の人の近くに立っ ても力を感じることは全くない。ほんのちょっとでもバランスの狂いがあれば、すぐに 分かるはずである。人体の中の電子が陽子より1パーセント多いとすると、あ なたがある人から腕の長さのところに立つとき、信じられない位強い力で反発するはず である。どの位の強さだろう。エンパイア・ステート・ビルを持ち上げるくらいだろう か。エベレストを持ち上げるくらいだろうか。それどころではない。反発力は地球全体 の重さを持ち上げるくらい強い。
この非常に強い力により、物質全体は中性になる。そうでないと、物質はバラバラになってし まう。また、物質を電子や原子のオーダーで見ると、電荷の偏りがあり、そこではこのクー ロン力が働く。この強い力により、原子が集合して、固い物質が形作られるのである。

正電荷をもつ陽子と電荷の無い中性子が、クーロン力に抗して集合するのは、もう一つ別 の力が働くからである。この辺の話は、興味のある人は自分で勉強してください。

図 1: クーロン力
\includegraphics[keepaspectratio, scale=1.0]{figure/Coulomb_low.eps}

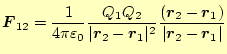
4.2 ベクトルを使った表現

式(4)はスカラー量で記述しているが、ベクトルを 使う方が適切である4。諸君は、 ベクトル解析の学習がすんでいるので、それを用いるとクーロンの法則は

$\displaystyle \boldsymbol{F}_{12}=\frac{1}{4\pi\varepsilon_0}\frac{Q_1Q_2}{\ver...
...boldsymbol{r}_2-\boldsymbol{r}_1)}{\vert\boldsymbol{r}_2-\boldsymbol{r}_1\vert}$ (6)

と書くべきであろう。ここで、 $ \boldsymbol{F}_{12}$は、電荷量$ Q_1$が電荷量$ Q_2$に及ぼす力で ある。位置ベクトルのと力の関係は、図2のとおりで ある。この式が言っていることは、電荷の積が負の場合引力、正の場合斥力となる。力の 大きさは距離の2乗に反比例し、電荷の積に比例する。

クーロンの法則について、次のことについて考察してみよう。

図 2: クーロン力。ベクトルを使った表現
\includegraphics[keepaspectratio, scale=1.0]{figure/Coulomb_low_vector.eps}

クーロンの法則の発見の歴史的経緯はおもしろい5。まず最初の登場人物は、ジョセフ・プリーストリーと、あのベン ジャミン・フランクリンである。プリーストリーは、フランクリンにに示唆されて実験を 行い、中空の物体を帯電させて、その内側では電気的な作用が無いことを発見した。重力 の場合との類推で、電気的な力が距離の逆2乗で伝わると実験結果の意味を考えた。これ と同じ原理で6、1772年にキャベンディッシュは巧妙な実験を行い、かな りの精度で逆2乗が成り立つことを発見した。それは、今で言うノーベル賞級の発見では あるが、彼はそれを公表しなかったのである。その発見の価値も知っていたにも関わらず である。ということで、物理学者中の変人ナンバーワンとしても良いだろう。最後に登場 するのがクーロンで、1785年にねじれ秤を使った実験により、力の逆2乗の法則を発見し て、発表した。そして、それ以降、クーロンの法則と呼ばれるようになった。


ホームページ: Yamamoto's laboratory
著者: 山本昌志
yamamoto masashi
平成17年5月14日


no counter