静電磁場を拡張して、時間変動の項を取り扱うのが分かりやすくて良いだろう。そのため
に静電磁場の復習をする。
静電場と静磁場はともにベクトル場である。ベクトル場を記述する微分方程式の完全な組は、その発
散と回転であることは以前に示したとおりである。そこで、電場
と磁場
の発散と回転を示すことにする。
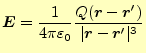
2つの電荷があるとそれぞれは力を及ぼしあい、その力について述べたものがクーロンの
法則である。図
1のように2つの電荷がある場合、

の電荷が

に及ぼす力

は、
となる。これがクーロンの法則で、それは、
- 力の大きさは、それらの距離の2乗に反比例し、電荷量の積に比例する
- 力の方向は、2つの電荷を結ぶ直線状で、同じ電荷同士の場合は斥力
で、異なる電荷であれば引力となる
と言っているのである。これから、直ちに作用・反作用の法則が成り立っていることが分
かる。
これが静電場のすべてで、どんな問題でもこれを計算すれば原理的に解ける。宇宙全体の
電荷をすべて計算すればよいのであるが、それは実際的でない。そのため、いろいろと数
学的な工夫がなされた。ただ、数学的に式を変形したと思ってはならない。かなり重要な
概念が導入されることになる。
導入された概念のうち最も重要なものは、場の概念である。このクーロンの法則から静電
場と言うものが考えられる。電荷が静電場を作り、その静電場が電荷に力の作用を及ぼす
のである。先のクーロンの法則から、電荷
は
の位置に
と言う電場を
作るのである。この電場が電荷
に作用して、
という力を及ぼすのであ
る。これは、
と書くことができる。これらの式は、式(
1)とまったく同じと思える
かもしれない。しかし、決定的に異なることがある。式(
1)は遠隔力
で、何もない空間を通して力が2つの電荷間にに作用している。一方、式
(
2)や式(
3)は近接作用となっており、電荷は場を変化させて、
その場の変化が力を生み出していると考える。
式(2)から、
の位置にある電荷
が
の位置につく
る電場
は
 |
(4) |
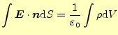
となる。電場は距離の2乗に反比例することから、電荷を囲む面積分は
 |
(5) |
となることは以前学習したとおりである。これをガウスの法則と言う。点電荷

ではな
くて連続的に密度

で分布していると考えると
 |
(6) |
となる。この左辺にガウスの定理、

を適用する。そうすると両辺の積分はどちらも体積積
分に直すことができ、この等式はどのような領域でも成り立つので、
 |
(7) |
が得られる。これでベクトル場の発散が得られた。
次にベクトル場の回転を求めるわけであるが、これも以前述べたように電場の線積分は経
路によらないと言うことから簡単に分かる。経路によらないことから、任意の閉じた経路
での線積分は常にゼロとなる。そのため、回転は常にゼロである。従って、
 |
(8) |
となる。
これで、静電場の発散と回転が求められたことになり、微分方程式が得られたのである。
ただし、実際のマクスウェルの方程式の場合、電束密度
というものを導入して、
| |
 |
(9) |
| |
 |
(10) |
と書かれるのが普通である。勿論、電束密度と電場の間には、

と言う関係があることは言うまでもないであろう。
つぎに静磁場

を考える。静電場の場合、電場を作るものは電荷であった。それに
対して、静磁場の場合の磁荷というものは発見されていない。従って、磁場の発散はつね
にゼロである。
 |
(11) |
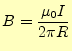
実際に磁場を作るものは電流である。1本の無限に長い電流
が作る磁場は、
 |
(12) |
となる。磁場は半径に比例するため、電流を内部に含む閉じた曲線の線積分は
 |
(13) |
となることは以前述べたとおりである。ここの電流

は積分路の内側である。これが連
続的に、密度

で分布していると考えると、
となる。ここで、ストークスの定理、

の出番である。これ
を式(
14)の左辺に適用する。すると両辺とも面積分になる。この面積分
は任意の領域で成り立つ。したがって、両辺の被積分関数は等しくなくてはならない。す
なわち、
 |
(15) |
である。これで、磁場、正確には磁束密度の回転が得られた。先ほどの発散と合わせて、
磁束密度を記述するベクトル場の方程式が得られたのである。実際には、磁束密度

と磁場の強さ

には、

と言う関係があるので、
| |
 |
(16) |
| |
 |
(17) |
と書かれる場合が多い。
今までの話は、静電磁場で時間的に何も変化しない場合を考えてきた。これからは、時間
的に電荷や電流が変する場合を考察する。電荷や電流が変化すると電磁場の変化するわけ
で、その関係を調べることになる。とはいえ、最終的には先の発散や回転の微分方程式に、
時間の項を含めるのである。
電荷は自然に発生したり、消滅することはない。このことは、電荷の総量は時間的に変化
しないと言っている。電子と陽電子が衝突して、光になっても、総量は変化していない。
この反応の場合、+eと-eが反応して電荷ゼロの光子ができるので、電荷が消滅したと思う
かもしれない。しかしながら、反応前の電荷の総量はゼロで反応後もゼロであり、やはり
総量は変化していない。このように電荷が消滅するときには、同じ電荷量で符号が反対の
ものも同時に消滅するのである。これは電荷の発生の時も同じである。
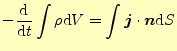
このようなことから、ある任意の体積中の電荷量が変化するためには、それはその体積を
囲んでいる壁を通して電荷の移動が起きなくてはならない。電荷の移動は電流そのもので
ある。したがって、ある任意の体積中の電荷の総量の変化は、その壁を通しての電流の流
れの積分に等しくなる。このことから、単位時間あたりの電荷の総量の変化は、壁を通し
て流れる電流の積分に等しくなる。いつものように、任意体積の外側に向かった法単位ベ
クトルを
とすると、これらの関係は
 |
(18) |
となる。この式の右辺にいつものようにガウスの定理を使うと、
 |
(19) |
が得られる。この積分が任意の領域で成り立つことと、電荷密度は場所と時間の関数であ
ることを考えると、
 |
(20) |
となる。これは電荷の保存則を微分方程式で表したものである。この微分方程式は、

と書き、連続の式とも呼ばれる。
静電場を表す4つの式
から始めることにする。静電磁場の場合、これらの式はまったく矛盾なく成立している。
電磁場も電荷も電流もいつでも一定で、場所だけの関数であり、電場および磁場がそれぞ
れ独立したペアとして存在している。電場のペアは、電場

と電束密度

、
電荷

である。磁場のはペアは、磁束密度

と磁場に強さ

と電
流

である。この場合でも、先ほどの電荷の保存則は成り立つ必要はあるが、時間
微分の項はゼロとなるので、
 |
(25) |
が成立すれば良い。これに関係するのは、式(
24)だけで、矛盾なく
成り立っている。この式の両辺の発散を取ると、左辺は回転の発散で、これは恒等式でゼ
ロとなる。
これからは、電磁場と電流および電荷が時間的に変化する場合を考える。まずは、電荷の
保存則が成り立つ必要がある。もちろん、静電場の式も満足しなくてはならない。それで
は、式(24)の両辺の発散を取ってみよう。この場合、左辺は恒等式
でゼロで、右辺は
 |
(26) |
となり、電荷の保存則を満足しない。そこで、仮に式(
24)の発散が
 |
(27) |
と書き換えたとする。そうすると、この式は電荷の保存則を満足する。これでも良いが、
さすがに式が複雑である。そこで、式(
21)を用いて、少し式を書き
換えることを考える。少しばかり変形すると
となる。この結果から、
としても良いだろう。
式(29)は良さそうであるが、式(21)もまた、
電荷保存則を満足する必要がある。そこで、この式の時間微分を考える。時間微分を取り、
左辺と右辺を入れ替えると
となる。これは、電荷保存則そのものである。従って、式(
29)のよ
うにすると、式(
21)はそのままで電荷保存則を満足している。これ
でめでたし、めでたしである。
式(29)の追加された項、
は変位電流あるい
は電束電流と呼ばれ、天才マクスウェルが導入したのである。
ホームページ:
Yamamoto's laboratory著者:
山本昌志
Yamamoto Masashi
平成19年6月24日