磁荷

が作る磁場は
 |
(23) |
となる。

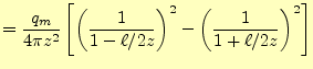
の磁荷を微少距離

だけ離した磁気双極子の磁場を考える。図のz軸
上(

)の磁場は、次のようになる。
 |
![$\displaystyle = \frac{q_m}{4\pi}\left[\frac{1}{(z-\ell/2)^2}-\frac{1}{(z+\ell/2)^2} \right]$](img77.png) |
|
| |
![$\displaystyle =\frac{q_m}{4\pi z^2}\left[\left(\frac{1}{1-\ell/2z}\right)^2- \left(\frac{1}{1+\ell/2z}\right)^2\right]$](img78.png) |
|
| |
内を二項分解、すなわち無限級数の和に分解する |
|
| |
![$\displaystyle =\frac{q_m}{4\pi z^2}\left[ \left\{1+\frac{\ell}{2z}+\left(\frac{...
...rac{\ell}{2z}\right)^2- \left(\frac{\ell}{2z}\right)^3+\cdots\right\}^2 \right]$](img80.png) |
|
| |
二次以上の微少量を無視すると |
|
| |
![$\displaystyle \simeq\frac{q_m}{4\pi z^2}\left[ \left(1+\frac{\ell}{z}\right)-\left(1-\frac{\ell}{z}\right) \right]$](img81.png) |
|
| |
 |
(24) |
磁気双極子が作る磁場は、距離の3乗で小さくなる。単極子(1重極)は距離の2乗で、
双極子(2重極子)は距離の3乗で小さくなる。
ここで、磁気双極子モーメント
を
 |
(25) |
とする。この場合、z軸上の磁場は、
 |
(26) |
となる。
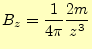
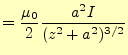
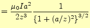
一方、半径
の円電流がz軸に作る磁場は、前回のビオ・サバールの法則を応用する問題
で示したとおり、
となる。先ほど同様に、コイルから離れた場合(

)には、
 |
 |
|
| |
 |
|
| |
 |
|
| |
テイラー展開する |
|
| |
![$\displaystyle =\frac{\mu_0Ia^2}{2z^3}\left[ 1-\frac{3}{2}\left(\frac{a}{z}\righ...
...ft(\frac{a}{z}\right)^4 -\frac{35}{16}\left(\frac{a}{z}\right)^6+\cdots \right]$](img93.png) |
|
| |
二次以上の微少量を無視すると |
|
| |
 |
|
| |
 |
(28) |
となる。ここで、
 |
(29) |
とすると、円電流と磁気双極子がつくる遠方の磁場は同一となる。ただし、

はコイル
の面積(

)である。
z軸上の遠方では、円電流と磁気双極子のつくる磁場は同一となることが分かった。証明
はしないが、z軸に限らずいかなる方向でも同じ磁場分布となる。このようなことから、
実際の磁場は、磁荷が作るのではなく円電流が作ると考えることができる。原子の中の電
子が回転することによる円電流が小さな磁場をつくるのである。原子が大量にあり、同じ
方向に磁場を作れば、それらは重ね合わせられ、強力な磁場を発生する。これが磁石とな
る。
この辺りは教科書を使って説明する。
ホームページ:
Yamamoto's laboratory著者:
山本昌志
Yamamoto Masashi
平成19年6月24日