無限に長い直線電流どうしに働く力を考える。そのために、それが作る磁場を計算する。
磁場は微分形のアンペールの法則
 |
(1) |
から導くのが簡単である。磁束密度

と磁場の強さ

は、
 |
(2) |
の関係がある。これを用いると、
 |
(3) |
となる。この直線電流から、

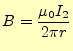
離れた場所で積分を行う。
これから、磁束密度は
 |
(5) |
となる。この磁束密度は元々、力から定義されていた。図
1のように置かれた電線が単位長さ当たり受ける力は、
となる。
式(6)に示した力は平行に導線を張った場合に働く力で
ある。それに対して、平行でない場合は、
 |
(7) |
となる。これをアンペールの力と言う。
教科書の図6.2に書いてある通り、コイルの上下方向の力は、反対で一直線上にある。し
たがって、コイルの重心を移動させる力は発生しない。トルクはどうだろうか?。ゼロで
あることは直ちに理解できる。上下方向の力をそれぞれ、

と

とすると
となる。直感の通り、ちゃんと計算してもコイルの上下方向の働くトルクは、キャンセルされ
る。
左右方向はどうだろうか?。力の大きさが反対なので、重心を移動させる力は発生しない。
しかし、トルクは発生する。左右方向の力をそれぞれ、
と
とすると
となる。ここで、

は図のAからBへ向かうベクトルに等しい。した
がってトルクの大きさは、
 |
(10) |
となる。方向は、コイルの左右の線と力との双方に垂直な方向である。また、力はアンペー
ルの法則より、

なので、トルクの大きさは、
となる。ここで、

はコイルの面積である。このトルクを表す式は、コイルが平面であ
ればどんな形状のものでも成り立つ。
ホームページ:
Yamamoto's laboratory著者:
山本昌志
Yamamoto Masashi
平成19年6月24日