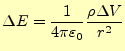
静電場の場合、微少体積

が作る微少電場は、
 |
(1) |
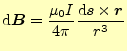
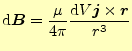
となった。これに対応する静磁場の式がビオ-サバールの法則である。電流

が流れてい
る微少区間

が作る微少磁場(磁束密度)は、
となる。図
1にこれらの位置関係を示す。この微小磁場

は、ベクトルで、その大きさと方向は、
- 大きさは、式(2)の示すとおりである。
- 観測点の位置ベクトル
と微少電流ベクトル
の
両方に垂直な方向を向いている。
となっている。
ちょっとこれらの式は方向を指定することが不可能なので、それを含めた正確なベクトル
で表現する。ベクトルを用いて表現すると、図など書かなくても式が全てを語っている。それぞれは、
| |
 |
(3) |
| |
 |
(4) |
となる。ただし、微少電流や微少電荷を座標原点に置いている。この後者をビオ-サバー
ルの法則と言う。
後者の式は、
 |
(5) |
と書いた方が電場の式との対応が良い。こうなると、

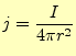
は電流密度である。
このビオ-サバールの法則は、特殊相対性理論を用いて導くのが本来の姿と思われるが、
そこまですると、講義の時間が不足する。そこで、静磁場の知識のみですむ教科書と同じ
説明をする。正直に言うと、このような説明方法があるとは知らなかった。さすが、砂川
重信先生である。
今まで学習してきた磁場は、全て端が無い電流により作られる。すなわち、無限に長い電
線や閉じた電線である。ビオサバールの法則を見ると、微少区間の電流を取り扱っている
ので、端が存在する。そのような電流を考えると、積分型のアンペールの法則が成り立た
なくなる。これは、電流が保存されていないからである。
電流が保存された系で微少電流を考えるために、教科書では、微少電線の両端で発散と収
束を考えている。このようにする限り、電流は保存され、積分型のアンペールの法則が成
立する。また、これらの微少電流を足しあわせることにより、無限に長い電流や閉じた電
流を考えることができる。この辺の所は教科書の図の通り。
それでは、このような微少電流からビオ-サバールの法則が成立するか、調べることにす
る。教科書の図5.9(a)に示している磁場
を求める。そのために、積分形
のアンペールの法則
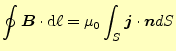
を使う。ある閉じた面の縁の磁場の線積分は、内部の電流密度の面積分に等しい。もっと
簡単に言うと、磁場を線積分したら、そこの面を流れる電流に等しいと言っているのであ
る。これを利用して磁場を求めようと言うのである。ビオ-サバールの法則を考えるため
に、積分を行う範囲は、教科書の通り、円の一部を切り取った範
囲が適当である。この部分では、電流は一定である。なぜならば、微少電線の端では、球状に電
流が発散及び収束しており、この部分球の表面はその端から等距離にある。従って、ここ
での電流密度は、
 |
(7) |
となる。また、対称性から、磁場の大きさも一定

となることは明らかである。
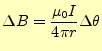
アンペールの法則、式(6)を用いて磁場
を計算することにな
るが、この左辺は簡単で
となる。
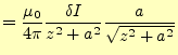
次に、式(6)の右辺を考えることにする。この右辺は、積分領域の
電流のを表している。ここでの、積分を行う部分の電流密度は一定で、
と分かっている。したがって、積分領域の面積さえ分かれば、電流は計算でき、右
辺の値が分かることになる。教科書の図5.9(b)の帯状の微少区間の面積は、
となる。従って全ての面積は、区間
![$ [0, \theta]$](img27.png)
で積分を行うことにより
と求められる。従って、微少電線のAから流出する電流の総量は、この面積に電流密度を
かければ求められ、
となる。これは、距離に関係なく、角度のみに依存する。電流は保存され、球状に放出さ
れるので当たり前のことである。
次に、同じ縁を持つ積分領域で教科書の図5.9のB点から吸収される電流を計算する。先の
A点の放出電流の式が使える。異なるところは、角度のみである。したがって、B点への吸
収電流はとなる。
 |
(12) |
A点の放出電流と、B点の吸収電流をあわせたものがトータルの電流で、
 |
 |
|
| |
 |
|
| |
は小さいので、テイラー展開して1次の項まで取る |
|
| |
 |
|
| |
 |
(13) |
となる。したがって、円

上のアンペールの法則は
 |
(14) |
となる。したがって、微小磁場は
となる。ビオ-サバールの法則まで、後一歩である。そのためには、

がじゃ
まなので、書き換えなくてはならない。今考えている微少電流とその周辺の幾何学的配置
は、図
3のようになる。正弦定理
 |
(16) |
から、
 |
(17) |
が導かれる。

と

が微少量としてテイラー展開し、1次の項まで
取ると、
となる。
式(15)と(18)から、微小磁場は、
となる。これがビオ-サバールの法則である。微少電流が作る微小磁場を表している。
もっと一般的な座標で書くと、
 |
(20) |
となる。ここで、

は観測点、

は微少電流の位置を表すベクトル
である。この関係を図
4に示す。
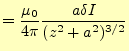
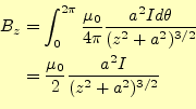
問題のコイルの1個が軸上に作る磁場

は、対称性により、軸上磁場は軸の方
向に向いているはずである。その様子を図
5
の左の絵で示す。このコイルの小さい電流要素

が作る磁場は、ビオ-
サバールの法則
 |
(21) |
から計算できる。これから、その磁場は図
5
の右の絵のようになる。軸上の磁場

は、微小電流

がつくる微小
磁場

をコイルの一周にわたって、足し合わせれば良い。
図から分かるように、微小磁場
は軸の垂直成分もある。しかし、
これは、コイル1週にわたって足し合わせると、ゼロになる。コイル1周にわたっ
て合計すると、残るのは軸上の成分のみである。コイルの軸上の成分は、
 |
 |
|
| |
は、軸方向の単位ベクトル |
|
| |
と
は直交しているので |
|
| |
 |
|
| |
 |
|
| |
 |
|
| |
 |
(22) |
となる。これをコイルの全ての電流で積分することになるが、

を利用すると計算が楽である。磁場は
となる。
ホームページ:
Yamamoto's laboratory著者:
山本昌志
Yamamoto Masashi
平成19年6月24日