3年生の実験実習の「
発振回路
」では、図
1の回路の実験を行った。ここでは、この回路が、本当に発
振するか否か、シミュレーションする。
図 1:
CR発振回路。バイアスやトランジスタ駆動用の電源は省いている。
|
|
ただし、この回路のままだと、計算が大変なので、トランジスターをhパラメーターを用
いて表現する。それは、図2のようになる。これを、1周にわたっ
て閉回路の電位差を足しあわせるとゼロになるというキルヒホッフの第2法則を表現しやす
いように表したものが図3である。それぞれの図の回路は全く同じであ
ることに注意せよ。
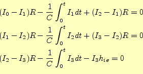
キルヒホッフの法則より、図
3の回路では、
が成り立つ。言うまでもないが、回路の電流

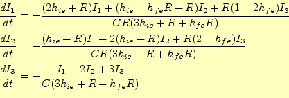
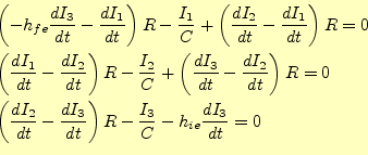
が時間の関数である。このままでは、ルンゲ・クッタ法で計算するのは困難なので、これらの式を時間で微分する。すると
となる。このままだと、式が3個で未知数が4個なので、解くことができない。ここで、ト
ランジスターのhパラメーターを導入する。トランジスターの特性より
 |
(3) |
となる。すると、解くべき式は、
である。これが、回路の電流を表す微分方程式である。
これらの連立の微分方程式を4次のルンゲクッタ法で計算すれば良いのであるが、もう少
し変形する必要がある。
のような、形にする。これは、連立方程式な
ので、変形は面倒であるが可能である。計算し易いように変形2すると
となる。
常微分方程式を以下の条件で計算せよ。トランジスターの特性については、私は素人で全
く知らないので、適当に仮定している。それでも、発振の基本的なメカニズムは分かるで
あろう。
これを計算する場合のヒントを与えておく。発振の成長は、種信号の増幅の繰り返しであ
る。実際の発振器の種信号は、熱雑音であったり、スイッチのON/OFFのノイズであったり
する。計算機でシミュレーションする場合、それは、
または
、
のいずれかの一つに非常に小さい値を与えれば良い。そして、残りの2つは、ゼロとして
おく。
ホームページ:
Yamamoto's laboratory著者:
山本昌志
Yamamoto Masashi
平成19年6月24日