Subsections
高階の常微分方程式を連立1階微分方程式に書き換えるという問題です。それ
により高階の微分方程式でも、ルンゲ・クッタ法が使えるようになります。
 |
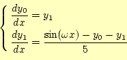
(1) |
これは2階の常微分方程式ですから、2元1階常微分方程式に変形できるはずです。
まず、
と変数の変換をします。この変数変換により、
が直ちに導けます。これは求める2つの式の1つになります。
もう一つは、問題で与えられている式に変数変換の式(2)
を適用します。すると、
となります。ここでは、
 |
(7) |
を利用したことを忘れないでください。
したがって、式(3),
(6)から、連立方程式は、
となります。これが問題に対する解答です。
 |
(9) |
問題1と同じ方法で式を変形します。すると、
を導くことができます。
 |
(11) |
これも問題(1)と同じです。ただ、式の中に

が入っているだけです。問題
(1)の式(
2)と同じ変数変換すると、問題の式は、
 |
(12) |
と変形できます。したがって、求める連立方程式は
となります。
 |
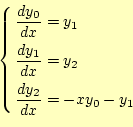
(14) |
これは3階の常微分方程式ですが、考え方は2階の場合と全く同じです。変数の
変換が
となるだけです。この変数変換によって、
を直ちに導くことができます。問題の式にこれらを代入すると
となります。式(
17),
(
18)から求める連立方程式は、
です。
 |
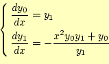
(19) |
右辺に

があり非同次微分方程式となっていますが、新しいこ
とは何もありません。問(1)と同じように変数変換して、計算するだけです。
解答は以下の通りです。
 |
(21) |
これも問(5)とほとんど同じです。
 |
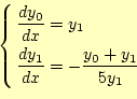
(23) |
非線形項

がありますが、同じ考え方で式の変
形ができます。
 |
(25) |
これも、問(7)と同じ非線形の微分方程式です。
ホームページ:
Yamamoto's laboratory著者:
山本昌志
Yamamoto Masashi
2005-11-25