もっと実用的な常微分方程式を解くことにする。電気の諸問題の常微分方程式は
2階の場合が多い。例えば、図
1のような回路で
ある。最初、コンデンサーにある電荷が蓄えられていたとする
2。そうして、ある瞬間(t=0)にスイッチSWをONにしたとする。
この場合、回路に流れる電流は時間とともにどのように変化するか?。数値計
算によりそれを求めることにする。
まず、この回路に流れる電流の微分方程式を導かなくてはならない。これを、エネルギー
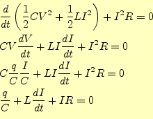
という観点から考えよう。コンデンサーとコイルに蓄えられたエネルギーの時間的な変化が抵抗で消費される電力になる。コンデンサーに蓄えられるエネルギーは
で、コイルに蓄えられるエネルギーは
である。一方、抵抗
で消費される電力は、
である。これらの関係を式で表すと、
となる。
この式では、電流
と電圧
が時間の関数となっている。これでは見通しが
悪いので、電圧の項をコンデンサーの式を用いて消去することを考える。コン
デンサーに蓄えられる電荷を
とすると、
という関係がある。これから、
が直ち
に導かれる。ここで、電荷量の時間変化は電流となるので、
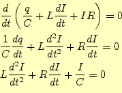
となることに注意する。これらの関係式を用いて、式
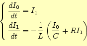
(1)を書き直す。すると、
の関係式を導くことができる。最後の式の両辺の時間で微分すると、
となる。これで、電流

のみ常微分方程式になる。これを解けばよいわけで
ある。
2階の常微分方程式は、1階の連立常微分方程式に直すのがセオリーである。これは、
と変数変換を行う。すると、式(
3)の最後の式
は、
と書き直せる。
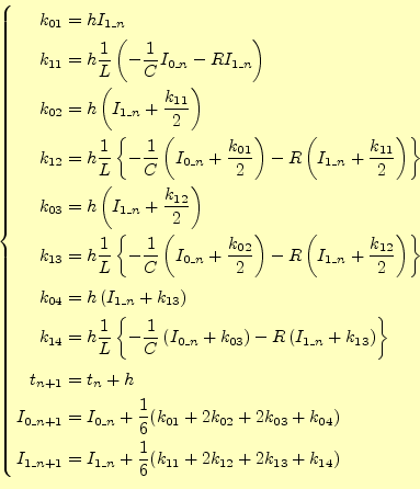
これを、4次のルンゲ・クッタ法で計算する場合、
となる。これを、数値計算により時間の刻み幅

毎に計算視すればよい。
これを解くためには、LとC、Rの値と初期条件が必要である。それぞれを以下
のようにする。
- インダクタンス
とキャパシタンス
は、1とする。
- スイッチSWをONにした瞬間(t=0)、インダクタンス
があるので電流は
流れない。
となる。また、
とする。
になるような電荷が蓄えられているわけであ
る。
このような状況のもと、以下の場合について計算せよ。
- まずはじめに、
の場合について、電流の様子を計算せよ。
-
の場合について、電流の様子を計算せよ。臨界減衰の
時、どうなるか?
- 抵抗が電流に比例する場合
、どうなるか計算せよ。
の場合
を計算してみよう。このような場合、非線形な方程式になる。従って、通常は解析
解ないが、数値計算は可能である。コンピューターは、すばらしい結果を与えてく
れる。
プログラムのヒントをあたえよう。
と
は、それぞれ
I0[n]やI1[n]のような配列に格納する。そして、初期値は
I0[0]=0とI1[0]=1で表せる。ついでに時刻も配列
time[n]を使う。当然、time[0]=0で、
time[n+1]=time[n]+hのように計算する。最終的な解は、
I0[n]とtime[n]の関係が重要になる。
このプログラムのソースコードは、プリントアウトして、レポートとして提出すること。
配布したテキスト「常微分方程式の数値計算法」の「3.2 練習問題」を行うこと。結果は、
レポートとして提出すること。式の変形は、できるだけ丁寧に行い、説明や途中の計算を
省かないこと。
ホームページ:
Yamamoto's laboratory著者:
山本昌志
Yamamoto Masashi
平成19年6月24日