6 SOR法

ここでは,より高速な逐次加速緩和法(SOR法:Successive Over-Relaxation)について説明 する.このでの説明は,文献 [2]を参考にした.この教科書 には,行列の計算テクニックが多く欠かれているので便利で,このような計算をする人は 参考書として持っておくのが良いだろう.

ガウス・ザイデル法をもっと改善する方法がある.ガウス・ザイデル法の解の修正は, $ x_{k+1}-x_k$ であったが,これをもっと大きなステップにしようというのである.通常 の場合,ガウス・ザイデル法では近似解はいつも同じ側にあり,単調に収束する.そのた め,修正を適当にすれば,もっと早く解に近づく.修正幅を,加速緩和乗数$ \omega$ を用 いて, $ \omega(x_{k+1}-x_k)$ とする事が考えられた.これが,SOR法である.

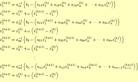
具体的な計算手順は,次のようにする.ここでは,ガウス・ザイデル法の式 (26)を用いて,得られた近似解を $ \tilde{x}_i^{(k+1)}$ としている.

\begin{equation*}\begin{aligned}&\tilde{x}_1^{(k+1)}=a_{11}^{-1}\left\{b_1-\left...
...mega\left(\tilde{x}_n^{(k+1)}-x_n^{(k)}\right)\\ %
\end{aligned}\end{equation*}

これが,SOR法である.

ここで,問題なのが加速緩和係数$ \omega$ の値の選び方である.明らかに,それが1の場 合,ガウス・ザイデル法となりメリットは無い.また,1以下だと,ガウス・ザイデル法 よりも収束が遅い.ただし,ガウス・ザイデル法で収束しないような問題には使える.

従って,1以上の値にしたいわけであるが,余り大きくすると,発散するのは目に見えて いる.これについては,2を越えると発散することが分かっている.最適値となると,だ いたい1.9くらいが選ばれることが多い.



ホームページ: Yamamoto's laboratory
著者: 山本昌志
Yamamoto Masashi
2005-12-09


no counter