ヤコビ法の特徴では,

の近似値は,すべてその前の値

を
使うことにある.大きな行列を扱う場合,全ての

と

を記
憶する必要があり,大きなメモリーが必要となり問題が生じる [].今では,個人で大きなメモリーを使い計算することは許されるが,ちょっと前まで
はできるだけメモリーを節約したプログラムを書かなくてはならなかった.
そこで,
の各成分の計算が終わると,それを直ちに使うことが考えば,
メモリーは半分で済む.即ち,
を計算するときに,
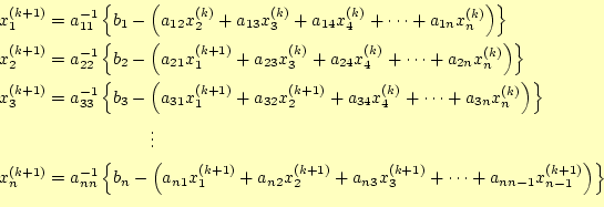
とするのである.実際の計算では,k+1番目の解は
と計算できる.これが,ガウス・ザイデル法である.
このガウス・ザイデル法は,k番目とk+1番目の解を混ぜて使うという,大胆なことをやっ
ているが,研究の結果,収束条件はヤコビ法とほとんど同じと言うことである.ヤコビ法
と比べてどちらが良いかというと
- メモリーの節約を考えた場合,ガウス・ザイデル法に軍配が上がる.
- 計算速度では,ガウス・ザイデル法の方が早いと思われる.
となる.ヤコビ法を使うよりは,ガウス・ザイデル法を使う方が良いであろう.
ホームページ:
Yamamoto's laboratory著者:
山本昌志
Yamamoto Masashi
2005-12-09