Subsections
ガウス・ザイデル法で連立一次方程式
を計算する方法を示す.この方程式の解析解は,
 |
(2) |
であるが,計算機でこれを求めることにする.前回の講義で示したガウス・ザイデル法の漸化式
は
![$\displaystyle x_i^{(k+1)}=a_{ii}^{-1}\left\{b_i-\left[ a_{i1}x_1^{(k)}+a_{i2}x_...
...x_{i-1}^{(k)}+a_{ii+1}x_{i+1}^{(k+1)}\cdots +a_{in}x_{n}^{(k+1)}\right]\right\}$](img3.png) |
(3) |
である.これは,反復の

番目の近似解から,より精度の良い

番目の解を求める方法を表し
ている.
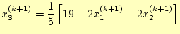
これを,式(1)に当てはめると
である.当然,これは

の順序で計算を進める.もう少しくだけた見方をする
と,この式は連立方程式式(
1)
から,各行の

を解いている式と
と同一である.式(
7)から式(
10)を,式(
8)
から式(
11)を,式(
9)から式(
12)を導いてい
るのである.ガウス・ザイデル法の漸化式(
4),(
5),(
6)は,
連立方程式を変形した式(
10),(
11),(
12)とそっ
くりである.最初にガウス・ザイデル法を考えた人(ザイデル???)は,連立方程
式を式(
10)〜(
12)のように変形して,繰り返し計算を行えば
真の解に近づくと考えたのだろう.ちょっと数値計算になれた者であればすぐに気がつくア
ルゴリズムである.
漸化式が求められたので,実際のプログラムを書いてみよう.プログラムの例をリスト
1に示しておくので,よく理解せよ.
1 #include <stdio.h>
2 #include <math.h>
3 #define N (3)
4 #define EPS (1e-15)
5
6 int main(){
7 double a[N+1][N+1], x[N+1], b[N+1];
8 double error, absx, temp, new;
9 int i,j;
10
11 a[1][1]=3.0; a[1][2]=2.0; a[1][3]=1.0;
12 a[2][1]=1.0; a[2][2]=4.0; a[2][3]=1.0;
13 a[3][1]=2.0; a[3][2]=2.0; a[3][3]=5.0;
14
15 b[1]=10.0;
16 b[2]=12.0;
17 b[3]=21.0;
18
19 x[1]=0.0;
20 x[2]=0.0;
21 x[3]=0.0;
22
23 do{
24 error=0.0;
25 absx=0.0;
26
27 for(i=1;i<=N;i++){
28 temp=0.0;
29 for(j=1;j<=N;j++){
30 temp+=a[i][j]*x[j];
31 }
32 new=1.0/a[i][i]*(b[i]-(temp-a[i][i]*x[i]));
33 error+=fabs(new-x[i]);
34 absx+=fabs(new);
35 x[i]=new;
36 }
37 }while(error/absx > EPS);
38
39 for(i=1;i<=N;i++){
40 printf("x[%d]=%25.20lf\n",i,x[i]);
41 }
42
43 return 0;
44 }
ホームページ:
Yamamoto's laboratory著者:
山本昌志
Yamamoto Masashi
2005-12-16