Subsections
コンデンサーを規定する重要な性質にキャパシタンス(静電容量)があるのは,十分承知し
ていると思う.これを計算する方法は,いろいろある.その中で,私が好んで使う方法は,
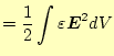
エネルギーから計算する方法である.これは,電場の状態がキャパシタンスを決めるとい
う意味で非常に物理的意味が分かりやすい.空間に電場

が分布している場合,その
エネルギー

は
となる.

が静電場のエネルギー密度になっている.信
じられない,それならば次元解析をしてみよ.
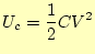
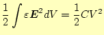
また,よく知られているように,コンデンサーの電圧
とキャパシタンス
,
そして,そこにたまっているエネルギーの関係は,
である.コンデンサー内部では,それらは図
1のような関係になっ
ている.これからも分かるように,コンデンサーの内部には式
(
1)が示す静電場のエネルギーが蓄えられている.一方,電
気的には,式
2が示すエネルギーが蓄えられている.
これらのエネルギーは,当然等しいので,
という関係がある.この式の左辺の電場はいろいろな方法で計算でき,静電場のエネル
ギーを求めることができる.一方,電圧

は予め与えられているので,このエネルギーをつ
かって,静電容量が計算できる.要するに,静電場

を求めることができれば,静電容
量

が計算できるのである.
いままで,よく分からなかった静電容量というものは,コンデンサーに蓄えられるエネルギーを示す
指数と考えて良い.私は,この考え方が好きである.なにしろ,分かりやすい.
先に示したとおり,コンデンサー内部の電場が分かれば,そのキャパシタンスを求めるこ
とができる.それは簡単ではないか,電圧

を電極間距離

で割れば,

と求め
られると言う人がいる.これは,コンデンサー内部で誘電率が一様な場合は正しい.そん
な単純な問題は,いままでさんざん学習してきたし,つまらない.ここでは,もう少し難
しい問題を解くことにする.
誘電率が,3次元(
の関数)で変化すると計算が大変なので,1次元問題に限ること
にする.2次元や3次元も考え方は同じであるが,計算は大変である.ここで,計算するコ
ンデンサー内部は,図2のとおりとする.誘電率は,座標
の関数で,
変化するものとする.
このような場合の電場はどうなるのであろうか?.一つの方法は,ポアッソン方程式
2
 |
(4) |
を解くことである.ここで,

はポテンシャルで,電圧のことである.少し気取って
書いているのである.この微分方程式を

の境界条件で解けば良
い.そうすると必要なものが全て計算できるので,静電容量を計算できる.しかし,今回
は,この方法で計算しないことにする.
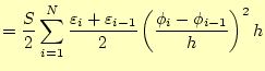
ポアッソン方程式の代わりに,コンデンサー内部の電場は,そのエネルギーが最小になる
ように分布すると言う原理を使う.当然,このばあいでも,境界条件
は課せられている.コンデンサーの内部のエネルギーは,1次元
なので,
と書ける.
このポテンシャル分布をコンピューターに計算させるために,コンデンサーの内部を細か
くN等分に区切る.この様子を図3に示す.すると,エネルギーは
となる.
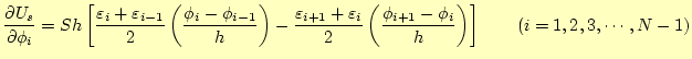
静電場のエネルギーが最小になるためには,微分がゼロになる必要がある.このエネルギー
をポテンシャル
で微分すると
![$\displaystyle \if 11 \frac{\partial U_s}{\partial \phi_i} \else \frac{\partial^...
...2} \left(\frac{\phi_{i+1}-\phi_{i}}{h}\right) \right]\qquad(i=1,2,3,\cdots,N-1)$](img28.png) |
(7) |
となる.

が最小値になるためには,

となる必要がある.
また,コンデンサーの両端の電圧は固定されているので,

で

である.
従って,これらをまとめると
となる.要するに,この連立1次方程式を計算すれば,任意の誘電率の場合のコンデンサー内部のポテ
ンシャル(電圧)が得られる.ポテンシャルが分かれば,電場が分かり,そうすると内部の
エネルギーが計算できる.従って,静電容量が求められるわけである.
じつは,ここで示した計算方法は有限要素法と呼ばれている.
ホームページ:
Yamamoto's laboratory著者:
山本昌志
Yamamoto Masashi
2005-12-09