Subsections
係数行列

が下三角行列

と上三角行列

の積に展開でき
たとする。
 |
(14) |
下三角行列と上三角行列の要素を書き出すと
となる。
このようにLU分解できると、連立1次方程式は
 |
(16) |
と書ける。これをさらに書き換えると、
となる。これらの連立方程式の解

と

は、それぞれの係数
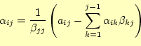
が三角行列なので容易に計算できる(ガウス消去法と後退代入の説明を見よ)。

の方は、係数が下三角行列なので

〜

まで前進代入により解ける。
具体的には、
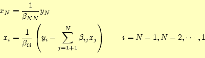
である。この

が求まったならば、今度は係数が上三角行列の式(
![[*]](crossref.png)
)の

を求める。これは、

〜

の順序で計算する後
退代入を使う。
これらの前進代入と後退代入は、コンピューターにとって非常に簡単に計算できる。これ
は、係数行列
をLU分解できれば、連立方程式は簡単に解けると言っている。次節でLU
分解の方法を詳しく説明する。
いったんLU分解が出来てしまえば、式(1)の右辺
が変わっ
ても、そのLU分解の形を変える必要がない。右辺が変わっても、LU分解は1回で済む。こ
れが、ガウスの消去法と後退代入を組み合わせた方法やガウス・ジョルダン法に比べて、
際立って優れている点である。
LU分解するということは、式(
15)の

と

を計算することにほかならない。この式の行列方程式は、

の未知数と

の式を
含む。未知数の数が方程式の数より多いので、

個の未知数を勝手に決めて残りを計算
することが可能である。従って、LU分解は一意に決まらない、計算しやすいように

個
の未知数を決めることができる。ここでは、LU分解のクラウト(Crout)のアルゴリズムに
従い、
 |
(21) |
とする。
それでは、クラウトのアルゴリズムによるLU分解の手順を示すことにする。
-
とします。この操作により、解
くべき行列方程式(15)は
と変形できる。
- この式を見ると、
と
が次に示す順序で簡単に求められ
ることが分かる。まずは式を見て分かるように、
が直ちに計算できる。
次に
を利用して、
を求める
ことができる。これで、
と
の第1列目が求められた。次に第2列目である。こ
れも
は直ちに計算できる。そうして、これまで分かっている
と
を使うと、
を求めることができる。これで第2列目は終わりで、同じことを繰り返すと、全て
の
と
が計算できる。これをアルゴリズムにすると次の
ようになる。
という順序で計算する。
と
の
列目を計算することになる。具体的には、以下のようにして、
列目の
と
を求める。
この方法により、LU分解ができる。次に示すピボット選択をしなければ、アルゴリズムは
非常に単純である。
ここでも、ピボット選択の問題が出てくる。式(
24)の

で割る部分である。安定な解を求めるためには、ピボット選択は必要不可欠ということで
ある。完全ピボット選択は複雑なので、部分ピボット選択で十分であろう。
ではどうするかですが、これも途中(
列)まで分解した行列は崩したくない。そのため
には、行列
の行を交換し、それに対応した行列
の行を交換すれば問題
がもっとも少なくなる。当然、行列
は行も列も変化しない。最終的には行を交換
した行列
のLU分解が出来る。連立1次方程式を解くときには、同様に
の行も交換しておく。ただし、行の交換であるため、解
の要素の順序は
入れ替わらない。
つぎに、どのようにして交換する行を決めるかである。一般的には、
が大き
くなるように選択すれば良い結果が得られる。クラウト法のピボット選択は、次のように
進める。
列目のピボットを選択する場合についてである。
- まずは、
列目までの行列
の各行の要素の最大値を1に規
格化する。同時に、対応する行列
の行も同じ係数を掛ける。
- そうして、
を計算する。これは、式(23)と同じ、
式(24)と
で割ること以外は同じであ
ることに注意が必要である。
- 最大の
となるものをピボットとして選択する。
- 最大のピボットとなる行が分かったので、後は元(規格化前)の
と
を用いて、式(24)と
を計算する。
これがピボット探索のルーチンである。実際には、ピボット作成用の関数を作成
して、計算をすることになる。
ホームページ:
Yamamoto's laboratory著者:
山本昌志
Yamamoto Masashi
2005-11-18