一定振幅,一定周波数の電気振動を持続して発生する現象を「発振」と言い,このような
電気振動を発生する回路を発振回路と言う.
電気振動を持続して発生させるためには,発振回路にエネルギーの供給が必要となるが,
この供給は直流電源によってなされる.すなわち,発振器とは直流エネルギーを振動エネ
ルギーに変換する装置であるとも言える.
電気振動回路は大別して,
- 自励発振回路
- 他励発振回路
- パラメーター励振振動回路
に分けられ,このうち自励振の正弦波発振回路は,さらに
に分類される.前者は,出力の一部を入力に戻すいわゆる帰還増幅の機構を持ち,後者は
負性抵抗素子と共振回路の組み合わせから成っている.
本実験で用いるCR発振回路は4端子発振回路に分類されるので,以降は4端子発振回路の原
理について述べる.
4端子発振回路は,図
1のように利得

の増幅器の出力

が帰還回路を通し

倍
されて入力に戻される構造となっており,このことは次式で表される.
 |
(1) |
したがって,帰還をかけたときの電圧利得

は
 |
(2) |
となる.
増幅器は,基本的には電子の運動によって動作するが,電子の動きには時間的な「ゆらぎ」
(雑音成分)がある.もし,
の回路(帰還回路)に周波数選択性を持たせておけば,この
「ゆらぎ」成分の中から特定の周波数成分の振動だけ次第に成長し,平衡状態では持続振
動となる.このように振動が成長する過程を「発振が立ち上がる」と言い,振動が成長す
るためには
 |
(3) |
が成り立たなければならない.すなわち,
が成立することが必要である.

を帰還係数(帰還率とも言う),

をループ利得と言う.
そして,増幅器は無限に大きい出力を出すことはできないので,振動が成長すると振幅制
限効果が働いて
が成り立つような状態で平衡に達する.この状態が「発振」である.
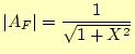
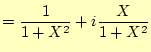
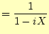
利得
はそれ自体複素数であり,位相回転を伴うが,良好な発振を得るためには,目的
の発振周波数においては実数とみなせるような素子を選ばなくてはならない.すなわち,
は入力と出力が同期(0相,または利得が正であるとも言う)か,または逆相(
相,
または利得が負であるとも言う)でなければならない.したがって,
を満足するた
めには
も実数でなければならず,
の虚数部は0ということになる.
4端子発振回路は,大別してLC発振回路とCR発振回路に分類できるが,本実験ではCR発振
回路を対象とするので,以降はCR発振回路について述べる.
発振回路は,大別して
- 180度位相回路と逆相(位相反転とも言う)増幅回路の組み合わせ
- 0位相選択回路と正相増幅回路の組み合わせ
に分類される.本実験で用いるCR発振回路は前者の形式の回路で,一般に移相形CR発振回
路と呼ばれ,図
2の構成となっている.
逆相増幅回路としては,エミッタ接地形の増幅回路がその条件を満たしており,入力イン
ピーダンス小,出力インピーダンス大の電流増幅器として働くことから,以降は利得の計
算は電流利得
で行うものとする.
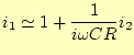
CRを用いたい相回路としては,図3のよう
に進相形と遅相形の2とおりが考えられるが,ここでは進相形について,その
位相理論を述べる.
図3(a)の進相形のように電圧,電流の分布
を仮定すれば,
 |
(6) |
が成り立つ.ここで,

が極めて小さく,無視できるものとすれば
 |
(7) |
となり,ここで,

とおけば,電流伝送比

は
となり,その位相角

と大きさ

は
| |
 |
(9) |
| |
 |
(10) |
で表せる.
すなわち,位相角
は
となり,

の全範囲において,最大

しか移相できないことが分かる.
また,

のときは,

が極めて小さくなり,

の振幅減衰量が余
りにも大きくなって実用的でない.したがって,厳密には

を

とすることは不可能であるから,

[rad]の移相を実現するためには,図
4のようにこの移相回路を少なくとも3段
縦続接続することが必要である.
この場合,
であるから,

が極めて小さく,無視できるものとすれば,
 |
(12) |
となる.ここで,増幅器の電流利得

を実数とすれば,発振条件
 |
(13) |
より,

もまた実数でなければならない.
 |
(14) |
これより
したがって,発振周波数

は
 |
(16) |
また,この場合の

は
 |
(17) |
であるから,発振条件より,発振に必要な電流利得

は
 |
(18) |
となる.この負号については,位相が逆になる増幅器と考えれば理解できよう.そして発
振を確実に立ち上げるためには
 |
(19) |
となる.この条件は,「振幅成長条件」とも言われ,位相回路による振幅減少もこれによっ
て補われている.
ホームページ:
Yamamoto's laboratory著者:
山本昌志
Yamamoto Masashi
平成17年10月21日