図
1.1のようなLCR直列共振回路に交流電圧Eを加えた
とき、回路に流れる電流

は
となり、その大きさは
 |
(1.2) |
とである。
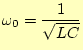
いま、電流が最大に流れるように、交流電源の角振動数
を調整して、
とする。すなわち、
 |
(1.3) |
とする。

なので、周波数に直すと、

である。このよ
うにすると、回路に流れる電流は、
 |
(1.4) |
となる。最大の電流が流れるこの状態を共振と言う。丁度、電源の周波数と回路の固有振
動数が一致している状態となっている。図
1.1のよう
な回路を直列では直列共振という。そして、電源の電圧を一定にしてその周波数を変化さ
せると、図
1.2のように回路に流れる電流が変わる。
このような図を共振曲線という。
図から明らかなように、
の小さい回路では共振時の電流
は非常に大きくなるが、
共振周波数からずれると、それは急激に減少する。この共振曲線の形状の鋭さを測る物差
しとして
を定義し、これを共振の鋭さ(sharpness of resonance)と言う。
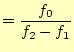
が
の
になる周波数を
、
として、
と定義する。
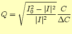
ここでは、周波数を一定にして、コンデンサーの容量を変化させた場合の電流を測定して、
Q値を求める。図
1.1の回路では、
 |
(1.6) |
となる。ところで、共振時にはこの式の分母の括弧の中がゼロとなるので、
 |
(1.7) |
である。これより、
ここで、

は共振時、

は非共振時のコンデンサーの容量で、

はその差で
ある。さらに、

、

なので、
 |
(1.9) |
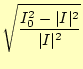
となる。ここで、

を図
1.3のように選ぶと、根
号の中が1になる。したがって、
となる。コンデンサーの容量を変化させて、図
1.3
を描くことにより、式
1.10を用いてQ値を求めることができる。
ホームページ:
Yamamoto's laboratory著者:
山本昌志
Yamamoto Masashi
平成17年5月13日